11. 진공 중에 있는 반지름 a[m]인 도체구의 정전 용량[F]?
구도체의 전위는 다음과 같습니다.

Q=CV에서 C=Q/V 이므로,

12. 회로에서 단자 a-b간에 V의 전위차를 인가할 때 C1의 에너지는?

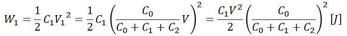
C1의 에너지는 다음의 식으로 구할 수 있습니다.

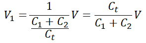
따라서 C1에 걸리는 전압 V1을 구해야 합니다. C1과 C2는 병렬연결이기 때문에 같은 전압(V1)이 걸리게 되고, 이는 C0와는 직렬이기 때문에 전체 합성 용량에 대한 C1+C2 비의 역수만큼 전압이 걸리게 됩니다. 따라서 V1은,

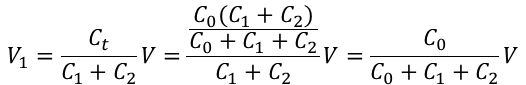
그럼 전체 합성 용량을 구하면,

이를 위 식에 대입하면,

따라서 구하고자하는 C1의 에너지는,

로 구할 수 있습니다.
13. 무한장 직선도체가 있다. 이 도체로부터 수직으로 0.1[m] 떨어진 점의 자계의 세기가 180[AT/m]이다. 이 도체로부터 수직으로 0.3[m]떨어진 점의 자계의 세기[AT/m]는?
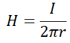
무한장 직선 도체에 전류 I가 흐를 때 이 도체에 의한 자계는,

즉, 거리에 반비례 하므로 비례식을 통해 간단하게 구할 수 있습니다. 0.3[m] 떨어진 곳의 자계를 H'라 하면,

로 구할 수 있습니다.
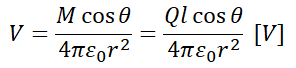
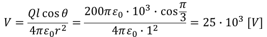
14. Ql=±200πε0X10^3 [C·m]인 전기쌍극자에서 l과 r의 사이각이 π/3이고, r=1[m]인 점의 전위[V]는?
전기쌍극자에 의한 전위는 다음의 식으로 계산할 수 있습니다.

따라서 각각의 값을 대입하면,

* 전기쌍극자에 의한 전위
다음과 같이 입자간 거리가 l인 전기 쌍극자가 있습니다.

이 쌍극자로부터 거리가 r인 점에서의 전위는 쌍극자의 각각의 입자로부터 발생하는 두 전위의 합이 될 것입니다.

따라서 거리 r에서의 전위 V를 구하면 다음과 같습니다.

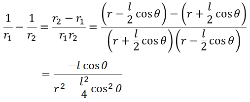
이제 r1과 r2를 r에 대한 값으로 표현하기 위해 r로부터r1, r2로부터 r에 수직인 선을 하나 그어보겠습니다. 그리고 r1과 l이 이루는각을 θ1이라 하겠습니다. 이때, 여기서 r>>l로 구하고자하는 점의 거리인 r은 쌍극자의 입자간 거리 l보다 충분히 먼 거리입니다. 따라서 θ1≒θ로 볼 수 있고, 그림으로 보면 다음과 같습니다.

이로부터 r1과 r2를 다음과 같이 근사할 수 있습니다.

그리고 이 값을 이용해 위에서 구한 r1과 r2에 관한 항을 정리하면,

다시 여기서 r>>l 이기 때문에 분모의 경우 r^2에 의한 값이 절대적입니다. 따라서 한번 더 근사하게 되면,

로 표현할 수 있습니다. 이제 마지막으로 이를 다시 처음에 구한 전기 쌍극자에 의한 전위 식에 대입하면,

라는 것을 알 수 있습니다. 그리고 Ql=M이라 하여 쌍극자 모멘트라고 합니다. 부호의 경우 처음 전기 쌍극자의 입자 중 +Q에 가까운 방향의 전위를 구하는 경우 양의 부호로 계산되기 때문에 문제에서 주어진 것 처럼 쌍극자 모멘트는 ±부호를 가지고 있습니다.
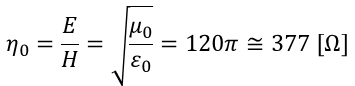
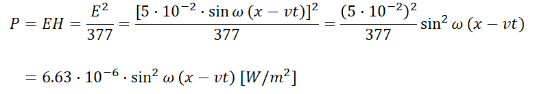
15. 공기 중에서 x방향으로 진행하는 전자파가 있다. Ey=3X10^-2 sinω(x-vt)[V/m], Ez=4X10^-2 sinω(x-vt)[V/m]일 때, 포인팅 벡터의 크기는?
포인팅 벡터는 전자기장이 가진 에너지와 운동량을 나타내는 벡터로 전계와 자계의 벡터곱입니다. 따라서 먼저 전계를 구해보면,

그리고 공기의 고유 임피던스로부터 전계와 자계의 관계를 도출할 수 있습니다. 공기의 고유임피던스 η0는,

이므로, H=E/377 임을 알 수 있습니다. 따라서 문제에서 요구하는 포인팅 벡터의 크기는,

로 구할 수 있습니다.
16. 60[Hz]의 교류 발전기의 회전자가 자속밀도 0.15[Wb/m^2]의 자기장 내에서 회전하고 있다. 만일 코일의 면적이 2X10^-2[m^2]일 때 유도기전력의 최대값 Em=220[V]가 되려면 코일을 약 몇 번 감아야 하는가?(단, ω=2πf=377[rad/sec])
먼저 유도기전력은 다음의 식으로 구할 수 있습니다. 그리고 유도기전력의 최대값은 최대자속에서 나오므로,

그리고 최대자속은 자속밀도와 코일 면적의 곱인 Φm=B·S이므로 위의 유도기전력 식으로부터 감긴 코일의 횟수 N을 구하면,

위와 같이 구할 수 있습니다.
17. 유전율이 ε1, ε2인 두 유전체 경계면에서 전계가 경계면에 수직일 때 경계면에 작용하는 힘[N/m^2]은? (단, ε1>ε2)
전계가 경계면에 수직인 경우 경계면에 작용하는 힘은 다음과 같습니다.

만약 전계가 경계면에 평행인 경우엔 다음과 같습니다.

두 경우 모두 유전율이 크느 쪽에서 작은 쪽으로 끌려 들어가는 방향으로 힘이 작용하게 됩니다.
18. 와전류와 관련된 설명으로 틀린 것은?
① 단위 체적당 와류손의 단위는 [W/m^3]이다.
② 와전류는 교번자속의 주파수와 최대자속밀도에 비례한다.
③ 와전류손은 히스테리시스손과 함께 철손이다.
④ 와전류손을 감소시키기 위해 성층철심을 사용한다.
철손은 무부하손이며 이 철손에는 히스테리시손(Ph)과 와류손(Pe) 등이 있습니다. 그리고 이 둘은 각각 다음과 같은 식으로 구할 수 있습니다.

여기서 δh는 히스테리시스 정수, δe는 재류에 의한 정수, Bm은 자속밀도의 최대값, t는 철판 두께, kf는 파형률을 의미합니다. 식으로 부터 알 수 있듯이 와류손은 교번자속의 주파수와 최대대속밀도의 제곱에 비례합니다. 그리고 성층철심의 사용은 와류손을 감소시키는 한 가지 방법입니다.
19. 전속밀도에 대한 설명으로 가장 옳은 것은?
① 전속은 스칼라량이기 때문에 전속밀도도 스칼라량이다.
② 전속밀도는 전계의 세기의 방향과 반대 방향이다.
③ 전속밀도는 유전체 내에 분극의 세기와 같다.
④ 전속밀도는 유전체와 관계 없이 크기는 일정하다.
패러데이의 실험으로부터 우리는 어떤 도체에 +Q[C]의 전하가 있을 때 주위의 물질에 관계 없이 Q개의 전속이 나온다는 것을 알고 있습니다. 그리고 전속밀도는 전속에 대해 단위면적 1[m^3]당 몇 개의 전속이 있는가를 의미하므로 전속밀도는 유전체의 종류와 무관합니다.
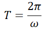
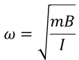
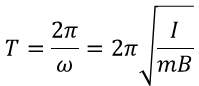
20. 균일한 자속밀도 B중에 자기 모멘트 m의 자석(관성모멘트 I)이 있다. 이 자석을 미소 진동시켰을 때의 주기는?
주기는 각속도를 이용하면 다음과 같습니다.

그런데 자석의 자속밀도와 자기 모멘트, 관성 모멘트로 표현되는 각속도는,

따라서 구하고자 하는 주기는,

'전기 > 전기기사 문제풀이' 카테고리의 다른 글
| [전기기사] 2015년 1회. 회로이론_71~80 (0) | 2020.09.22 |
|---|---|
| [전기기사] 2015년 1회. 제어공학_61~70 (0) | 2020.09.22 |
| [전기기사] 2015년 1회. 전기기기_41~60 (0) | 2020.09.21 |
| [전기기사] 2015년 1회. 전력공학_21~40 (0) | 2020.09.21 |
| [전기기사] 2015년 1회. 전기자기_1~10 (0) | 2020.08.04 |