71. 대칭 n상에서 선전류와 상전류 사이의 위상차[rad]는?
대칭 n상에서 선전류는 상전류보다 π/2(1-2/n)[rad]만큼 위상이 뒤집니다.
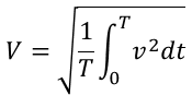
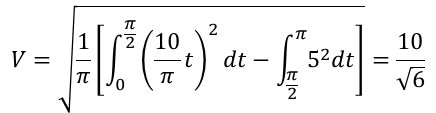
72. 다음과 같은 왜형파의 실효값[V]?

실효값은 다음의 식으로 구할 수 있습니다.

주기는 π이고, π/2까지는 함수가 (10/π)t, π/2에서 π까지는 -5이므로 대입하면,

으로 구할 수 있습니다.
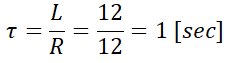
75. 권수가 2000회이고, 저항이 12[Ω]인 솔레노이드에 전류 10[A]를 흘릴 때, 자속이 6X10^-2[Wb]가 발생하였다. 이 회로의 시정수[sec]는?
자기회로에서 LI=NΦ이므로 L을 구하면,

R-L회로에서 시정수는 L/R이므로,

76. 자기 인덕턴스 0.1[H]인 코일에 실효값 100[V], 60[Hz], 위상각 0º인 전압을 가했을 때 흐르는 전류의 실효값은?
전압의 실효값이 주어졌으므로 바로 해당 값들을 이용해 전류의 실효값을 구하면 됩니다.

77. 2전력계법으로 평형 3상 전력을 측정하였더니 한 쪽의 지시가 500[W], 다른 한 쪽의 지시가 1500[W]이었다. 피상 전력은?
2전력계법으로 유효전력, 무효전력, 피상전력은 다음과 같은 식을 통해 구할 수 있습니다.

따라서 각각의 값들을 대입해 피상전력을 구하면,

78. 어떤 2단자쌍 회로망의 Y파라미터가 그람과 같다. a-a' 단자간에 V1=36[V], b-b' 단자간에 V2=24[V]의 정전압원을 연결하였을 때, I1, I2의 값은?

위 회로망의 Y파라미터가 주어져 있으므로 I1, I2는,

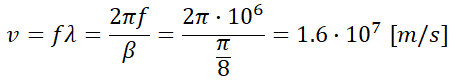
79. 위상정수가 π/8[rad/m]인 선로의 1[MHz]에 대한 전파 속도는?
전파 속도 v=fλ이고, βλ=2π이므로,

80. 3상 불평형 전압에서 역상전압 50[V], 정상전압 250[V], 및 영상전압 20[V]이면, 전압 불평형률은?
불평형률은 역상전압을 정상전압으로 나눈 것에 대한 백분율이므로,

'전기 > 전기기사 문제풀이' 카테고리의 다른 글
| [전기기사] 2015년 2회. 전력공학_21~40 (0) | 2020.09.24 |
|---|---|
| [전기기사] 2015년 2회. 전기자기_1~20 (1) | 2020.09.23 |
| [전기기사] 2015년 1회. 제어공학_61~70 (0) | 2020.09.22 |
| [전기기사] 2015년 1회. 전기기기_41~60 (0) | 2020.09.21 |
| [전기기사] 2015년 1회. 전력공학_21~40 (0) | 2020.09.21 |