22. 3상 송전선로의 각 상의 대지 정전용량을 Ca, Cb, Cc라 할 때, 중성점 비접지 시의 중성점과 대지 간의 전압은?(E는 상전압)

여기서 알 수 있는 각각의 성분을 다시 정리하면,

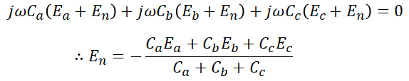
그럼 그림에서 각 선의 전류는 다음과 같이 나타낼 수 있습니다.

여기서 Ia+Ib+Ic=0이므로 위의 식을 대입하고 En에 대해 정리하면,

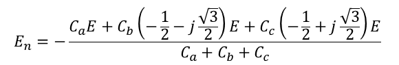
문제에서 E에 대해 정리가 되어있으므로 Ea=E, Eb=a^2E, Ec=aE를 각각 대입하면,

그리고 a값은

이므로,

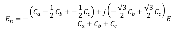
정리하면,

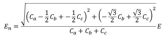
따라서 이로부터 En의 절대값을 구하면,

그리고 정리하면,

로 구할 수 있습니다.
25. 66[kV] 송전선로에서 3상 단락고장이 발생하였을 경우 고장점에서 본 등가 정상 임피던스가 자기용량(40[MVA])기준으로 20[%]일 경우 고장전류는 정격전류의 약 몇 배가 되는가?
문제에서 자기 용량 기준으로 등가 정상 임피던스가 20%라고 하였으므로 해당 송전선로의 퍼센트 임피더슨가 20이라는 것을 알 수 있습니다. 따라서 단락전류는,

위와 같이 정격전류의 5배가 된다는 것을 알 수 있습니다.
26. 정전용량 0.01[μF/km], 길이 163.2[km], 선간전압 60[kV], 주파수 60[Hz]인 3상 송전선로의 충전전류는?
충전전류는 다음의 식으로 구할 수 있습니다.

문제에서 선간전압과 주파수가 주어졌으므로,

여기에 각각을 대입하면,

로 구할 수 있습니다.
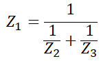
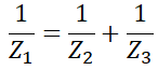
31. 임피던스 Z1, Z2, Z3가 그림과 같이 접속한 선로의 A쪽에서 전압파 E가 진행해왔을 때 접속점 B에서 무반사로 되기 위한 조건은?

그림에서 Z2, Z3이 병렬이므로 ZA와 ZB를 다시 쓰면,

라고 할 수 있습니다. 그리고 반사계수는,

이고, 무반사 조건은 ZA=ZB일 때 이므로,

정리하면,

으로 구할 수 있습니다.
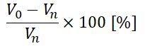
35. 송전단 전압이 66[kV], 수전단 전압이 60[kV]인 송전선로에서 수전단의 부하를 끊을 경우에 수전단 전압이 63[kV]가 되었다면 전압변동률은?
전압변동률은 다음의 식으로 구할 수 있습니다.

수전단의 부하를 끊을 경우가 바로 여기서 필요한 무부하시의 전압이고, 정격전압인 수전단 전압이 주어졌으므로 각각을 대입하면,

로 전압변동률을 구할 수 있습니다.
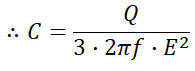
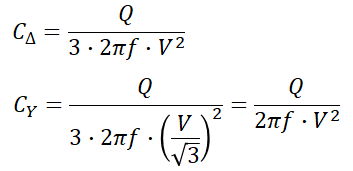
38. 역률 개선용 콘덴서를 부하와 병렬로 연결하고자 한다. Δ결선방식과 Y결선방식을 비교하면 콘덴서의 정전용량의 크기는?
먼저 정전용량은 다음의 식을 통해 구할 수 있습니다.

Δ결선의 경우 상전압과 선간전압은 같고, Y결선의 경우 선간전압이 상전압의 루트3배 이므로 각각의 경우는 다음과 같습니다.

따라서 Y결선인 경우가 Δ결선일 때 보다 3배 크다는 것을 알 수 있습니다.

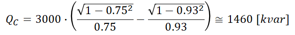
39. 3000[kW], 역률 75[%](늦음)의 부하에 전력을 공급하고 있는 변전소에 콘덴서를 설치하여 역률을 93[%]로 향상시키고자 한다. 필요한 전력용 콘덴서의 용량은?
sol1) 먼저 늦은 역률 75[%]일 때를 복소평면상에 그려보면,

라는 것을 알 수 있습니다. 여기서 S와 Q를 각각 구해보면,

그러나 문제에서 역률을 93[%]로 향상시키고 싶어하므로, 추가되는 전력용 콘덴서에의해 다음과 같은 그림이 그려져야 합니다.

그림에서 Qc를 추가한 뒤 얻어지는 무효전력인 Q'는 다음의 식을 통해 구할 수 있습니다.

그리고, Q'=Q-Qc 이므로,

로 구할 수 있습니다.
sol2) 위와 같이 피상전력, 유효전력, 무효전력의 관계를 이용해 전력용 콘덴서 용량을 구할 수도 있지만, 이를 정리한 식을 이용해서 구할 수도 있습니다. 필요한 콘덴서 용량을 구하는 식은,

으로 표현할 수 있고, 문제에서 개선전 역률인 θ1과 개선후 역률 θ2, 유효전력이 주어졌으므로 각각을 대입하면,

으로 구할 수 있습니다.
'전기 > 전기기사 문제풀이' 카테고리의 다른 글
| [전기기사] 2015년 1회. 회로이론_71~80 (0) | 2020.09.22 |
|---|---|
| [전기기사] 2015년 1회. 제어공학_61~70 (0) | 2020.09.22 |
| [전기기사] 2015년 1회. 전기기기_41~60 (0) | 2020.09.21 |
| [전기기사] 2015년 1회. 전기자기_11~20 (0) | 2020.08.04 |
| [전기기사] 2015년 1회. 전기자기_1~10 (0) | 2020.08.04 |