61. 다음 중 f(t)=e^(-at)의 z 변환은?
- 기본적인 라플라스 변환과 z변환
![]() |
![]() |
![]() |
![]() |
1 | 1 |
![]() |
![]() |
![]() |
![]() |
![]() |
![]() |
![]() |
![]() |
![]() |
62. 다음은 시스템의 블록선도이다. 이 시스템이 안정한 시스템이 되기 위한 K의 범위는?

시스템의 안정도를 판별하기 위해선 먼저 특성방정식을 구해야 합니다. 위 블록선도에서 특성방정식을 구하면,

이라는 것을 알 수 있습니다. k값의 범위를 구하기 위해 루스표를 적용하면,

여기서 제 1열의 부호 변화가 없어야 하므로, 66-(6+k)>0, 6-k>0이 되어야 합니다. 따라서 k<60, -6>k이므로 둘을 합하면, -6<k<60의 범위에서 위의 시스템이 안정하다는 것을 알 수 있습니다.
64. 다음의 블록선도와 같은 것은?

- 인출점과 합산점의 이동 시 등가 변환
| 변환 | 변환 전 | 등가 변환 |
| 인출점을 요소 앞에 이동 | ![]() |
![]() |
| 합산점을 요소 앞에 이동 | ![]() |
![]() |
위와 같이 요소 또는 인출점, 합산점을 지날 때 각각을 표기해 생각해보면 간단하게 구할 수 있습니다.
65. 자동제어계의 기본적 구성에서 제어요소는 무엇으로 구성되는가?
제어 요소는 동작 신호를 조작량으로 변환하는 요소로 조절부와 조작부로 이루어져 있으며, 폐루프 제어계의 구성도를 보면 다음과 같습니다.

67. 응답이 최종값의 10[%]에서 90[%]까지 되는데 요하는 시간은?
응답이 최종값(희망값)의 10~90[%]까지 도달하는데 필요한 시간을 상승 시간 또는 입상 시간이라고 합니다.
- 지연 시간 : 응답이 최초로 최종값(희망값 또는 정상값)의 50[%]가 되는데 필요한 시간.
- 응답 시간 : 응답이 요구하는 오차 이내로 정ㅊ착되는데 필요한 시간.
- 정정 시간 : 응답의 최종값의 허용 범위가 ±5[%] 내에 안정되기까지 필요한 시간.
68. G(s)H(s)=K/[s(s+4)(s+5)] 에서 근궤적의 수는?
근궤적의 개수는 개루프 전달함수의 영점과 극점의 개수 중 큰 것과 일치합니다. 문제에서 극점의 개수는 0, -4, -5의 3개, 영점은 0개 이므로 근구제거의 수는 3개가 됩니다.
69. 그림과 같은 RC 회로에서 전압 vi(t)를 입력으로 하고 전압 vo(t)를 출력으로 할 때 이에 맞는 신호 흐름 선도는?(단, 전달함수의 초기값은 0)

먼저 주어진 조건들을 이용해 R과 C에 대해 식을 세우면,

이 됩니다. 이를 라플라스 변환하면,

이제 각각을 신호 흐름 선도로 표현하면,

여기서 I와 V0는 같은 값이므로 이를 합하면,

그리고 문제에선 출력을 하나 더 사용했으므로 다음과 같이 그려주면 됩니다.

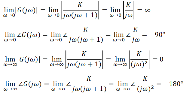
70. G(jω)=K/[jω(jω+1)]의 나이퀴스트 선도는? (단, K>0)
나이퀴스트 선도를 그리기 위해선 주어진 주파수 전달함수에서 ω를 0과 무한대로 보낼 때 크기와 위상을 살펴보며 그릴 수 있습니다. 따라서 0과 무한대로 가는 극한을 각각 나누어 살펴보면,

즉, 무한대의 영역에서 시작해 0에 -180도 각도로 들어오는 궤적을 그리면 되므로 다음과 같은 나이퀴스트 선도를 얻을 수 있습니다.

'전기 > 전기기사 문제풀이' 카테고리의 다른 글
| [전기기사] 2015년 2회. 전기자기_1~20 (1) | 2020.09.23 |
|---|---|
| [전기기사] 2015년 1회. 회로이론_71~80 (0) | 2020.09.22 |
| [전기기사] 2015년 1회. 전기기기_41~60 (0) | 2020.09.21 |
| [전기기사] 2015년 1회. 전력공학_21~40 (0) | 2020.09.21 |
| [전기기사] 2015년 1회. 전기자기_11~20 (0) | 2020.08.04 |
















