42. 정격이 10[HP], 200[V]인 직류 분권전동기가 있다. 전부하 전류는 46[A], 전기자저항은 0.25[Ω], 계자저항은 100[Ω]이며, 브러시 접촉에 의한 전압강하는 2[V], 철손과 마찰손을 합쳐 380[W]이다. 표류부하손을 정격출력의 1[%]라 한다면 이 전동기의 효율은?(1[HP]=746[W])
직류 분권전동기이므로 다음과 같이 그림을 그릴 수 있습니다.

계자 저항이 주어져 있으므로 계자 전류를 구할 수 있고, 이로부터 전기자 전류도 구할 수 있습니다.

I=Ia+If 이므로,

문제에서 전동기의 효율을 구하라 하였으므로 이 전동기의 입력과 손실을 구해야 합니다. 먼저 입력은 정격전압과 전부하 전류가 나와있으므로, 입력 VI는

그리고 전동기의 손실은 철손, 마찰손, 동손, 표류부하손의 합으로 구할 수 있습니다. 문제에서 철손과 마찰손의 합은 주어져 있고, 동손은 주어진 조건을 이용해 계산해야 합니다.
동손은 전기자 손실, 계자 손실, 브러시 접촉면의 손실의 합으로 구할 수 있고, 각각을 구하면 다음과 같습니다.

그리고 표류부하손은 정격출력의 1[%]이므로,

따라서 손실은 철손과 마찰손의 합 380[W]를 포함해 위의 모든 손실의 합이므로,

따라서 효율은 다음과 같이 구할 수 있습니다.

43. 자동제어장치에 쓰이는 서보 모터(servo motor)의 특성을 나타내는 것 중 틀린 것은?
서보 모터의 특징은 다음과 같습니다.
- 기동 토크가 크다.
- 회전자 관성 모멘트가 작다.
- 제어권선 전압이 0에서는 기동해서는 안되고, 곧 정지해야 한다.
- 직류 서보 모터의 기동 토크가 교류 서보 모터보다 크다.
- 속응성이 좋다. 시정수가 짧다. 기계적 응답이 좋다.
- 회전자 팬에 의한 냉각 효과를 기대할 수 없다.
44. 직류 전동기의 제동법 중 동일 제동법이 아닌 것은?
직류 전동기의 제동법은 크게 3가지가 있습니다.
- 발전 제동 : 운전 중인 전동기를 전원에서 분리하면 발전기로 동작하게 되고 이때 발생된 전력을 열로 소비하는 방식을 발전 제동이라 합니다. 직권 및 복권 전동기의 경우 직권 계자 권선을 반대로 하여 적용할 수 있습니다.
- 회생 제동 : 운전 중인 전동기를 전원에서 분리하면 발전기로 동작하는데 이때 발생된 전력을 제동용 전원으로 사용하면 회생 제동이라 합니다. 언덕을 내려가는 경우 등에서 사용할 수 있습니다.
- 플러깅 제동 : 급제동시 사용하는 방법으로 역전제동이라고도 합니다. 제동시에 전동기를 역회전 시켜 속도를 급감시키고 속도가 0에 가까워지면 전동기를 전원에서 분리하는 방법입니다.
문제에서 전원의 극성을 바꾸는 경우가 있는데, 직류 전동기의 전원 극성을 바꾸게 되면 계자 전류와 전기자 전류의 방향이 동시에 반대로 되기 때문에 회전 방향은 변하지 않고 계속 운전하게 됩니다.
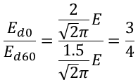
45. 저항 부하인 사이리스터 단상 반파 정류기로 위상 제어를 할 경우 점호각을 0º에서 60º로 하면 다른 조건이 동일한 경우 출력 평균전압은 몇 배가 되는가?
사이리스터 단상 반파 정류기에서 무유도 부하일 경우 평균전압은 다음과 같습니다.

그러므로 점호각이 0º, 60º인 경우는 각각,

따라서,

라는 것을 알 수 있습니다.
46. 3상 동기발전기를 병렬운전 시키는 경우 고려하지 않아도 되는 조건은?
동기 발전기의 병렬 운전 조건은 다음과 같습니다.
- 기전력의 크기, 위상, 주파수, 파형이 같을 것.
- 상회전 방향이 같을 것.
47. 병렬운전을 하고 있는 두 대의 3상 동기 발전기 사이에 무효순환전류가 흐르는 경우는?
병렬 운전 조건이 다른 경우에 흐르는 전류는 다음과 같습니다.
| 병렬 운전 조건 | 다른 경우 흐르는 전류 |
| 기전력의 크기(여자 전류)가 같을 것 | 무효 순환 전류 |
| 기전력의 위상이 같을 것 | 동기화 전류 |
| 기전력의 주파수가 같을 것 | 동기화 전류 |
| 기전력의 파형이 같을 것 | 고주파 무효순환전류 |
따라서 무효 순환 전류가 흐른 경우이므로 여자 전류의 변화가 정답이 됩니다.
48. 단상 변압기에서 전부하의 2차 전압은 100[V]이고, 전압 변동률은 4[%]이다. 1차 단자 전압[V]은?(1차, 2차 권선비는 20:1)
먼저 권선비가 20:1이므로 전부하 1차 전압은 2000[V]입니다. 그리고 전압변동률이 주어졌으므로 각각을 식에 대입하면,

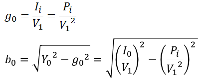
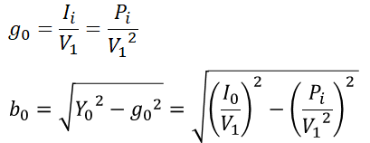
50. 변압기 여자회로의 어드미턴스 Y0[1/Ω]를 구하면?(I0는 여자전류, Ii는 철손전류, IΦ는 자화전류, g0는 콘덕턴스, V1은 인가전압)
변압기 여자회로를 그리면 다음과 같습니다.

여자 어드미턴스는 위 그림에서 콘덕턴스 g0와 서셉턴스 b0를 이용해 구할 수 있습니다.

그리고 여자 콘덕턴스와 서셉턴스는 각각 다음과 같습니다.

51. 전부하 전류 1[A], 역률 85[%], 속도 7500[rpm]이고 전압과 주파수가 100[V], 60[Hz]인 2극 단상 직권정류자전동기가 있다. 전기자와 직권 계자 권선의 실효저항의 합이 50[Ω]이라 할 때 전부하시 속도기전력[V]은?(단, 계자자속은 정현적으로 변하며 브러시는 중성축에 위치하고 철손은 무시)
속도 기전력은 출력에서 전류를 나눠서 구할 수 있습니다. 그럼 먼저 출력을 구해야 하는데, 출력은 입력-손실이고 문제에서 손실은 주어진 전기자와 직권 계자 권선의 실효저항의 합을 통해 구할 수 있습니다.

따라서, 속도 기전력은

52. 10[kVA], 2000/100[V] 변압기에서 1차에 환산한 등가 임피던스는 6.2+j7[Ω]이다. 이 변압기의 퍼센트 리액턴스 강하는?
먼저 1차 정격전류를 구하면,

그리고 %리액턴스 강하는 다음의 식으로 구할 수 있습니다.

54. 동기기의 전기자 권선이 매극 매상당 슬롯수가 4, 상수가 3인 권선의 분포 계수는?
분포권 계수 Kd는 다음의 식으로 구할 수 있습니다.

n=1, 상수 m=3, 매극 매상당 슬롯수 q=4 이므로 각각을 대입하면,

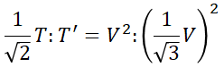
57. 3상 농형유도전동기를 전전압 기동할 때의 토크는 전부하시의 1/√2배이다. 기동보상기로 전전압의 1/√3로 기동하면 토크는 전부하 토크의 몇 배가 되는가?(단, 주파수는 일정)
토크는 전압의 제곱에 비례하므로 문제에 주어진 값들을 이용해 비례식을 세우면 다음과 같습니다.

따라서 T'에 대해 정리하면,

'전기 > 전기기사 문제풀이' 카테고리의 다른 글
| [전기기사] 2015년 1회. 회로이론_71~80 (0) | 2020.09.22 |
|---|---|
| [전기기사] 2015년 1회. 제어공학_61~70 (0) | 2020.09.22 |
| [전기기사] 2015년 1회. 전력공학_21~40 (0) | 2020.09.21 |
| [전기기사] 2015년 1회. 전기자기_11~20 (0) | 2020.08.04 |
| [전기기사] 2015년 1회. 전기자기_1~10 (0) | 2020.08.04 |