송전선로에는 여러가지 이유로 지락 또는 단락 등의 다양한 사고가 발생할 수 있습니다. 이 때 지락전류나 단락전류가 어느정도 흐를 것인지 계산할 수 있어야 고장을 대비할 수 있는 설비를 설계할 수 있습니다. 따라서 이 고장계산을 통해 보통 차단기의 용량 결정이나 보호 계전기의 정정을 위해 활용하게 됩니다.
1. 단락 고장
단락 전류는 차단기의 용량 결정, 보호 계전기의 정정, 기기에 가해지는 전자력의 크기를 구하기 위해 계산합니다. 여기서 말하는 단락 고장은 3상 단락 고장으로 평형 고장이며 옴법, %임피던스법, PU법을 통해 구할 수 있습니다. 그럼 각각에 대해 살펴보도록 하겠습니다.
1) 옴(Ω)법
우리가 회로 해석에 일반적으로 사용하는 옴법을 이용해 고장 전류를 계산하는 방법입니다. V=IR이므로 전압을 임피던스로 나누어 단락 전류를 구하게 됩니다.

여기서 V는 단락점의 선간전압, Z는 단락지점에서 전원측을 본 계통 임피던스를 의미합니다. 주의할 점은 옴 법에서 임피던스 값이 옴이기 때문에 고장점의 회로 전압과 다른 전압의 회로에 있는 임피던스를 고장 회로의 전압으로 환산하기 위해선 다음의 조건을 지켜야 합니다.
- 변압기 권수비(전압비)를 고려해 환산점에서 권수비(전압비)의 제곱만큼 곱하거나 나누어 주어야 합니다.
- 변압기 결선이 Δ결선인 경우 Y결선으로 고쳐야 합니다.
2) %임피던스 법
가장 널리 사용하는 방법으로 임피던스의 크기를 옴 값 대신 %값으로 나타내어 계산하는 방법입니다. 비율로 나타나기 때문에 따로 전압환산을 할 필요가 없어 계산이 용이하기 때문에 가장 많이 사용되고 있습니다.
(1) %Z
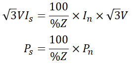
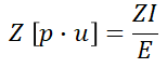
%임피던스 법에선 임피던스를 바로 활용하는 것이 아니라 이 %Z를 이용해 계산합니다. 어떤 회로에 임피던스 Z[Ω]이 접속되고 E[V]의 정격전압이 인가되어 있는 회로에 정격전류 I[A]가 흐르면 ZI[V]의 전압강하가 생기게 됩니다. 이렇게 임피던스에서 발생하는 전압강하 ZI[V]가 회로의 정격전압인 E[V]에 대해 몇[%]에 해당되는지, 즉, E[V]에 대한 ZI[V]의 비를 %로 나타낸 것이 바로 %임피던스입니다. 식으로 나타내면 다음과 같습니다.

여기서 In은 정격 전류 입니다. 그리고 이를 활용해 단락 전류를 계산할 수 있습니다.
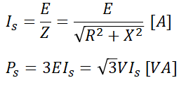
(2) 단락 전류 Is
단락 되었을 때 회로의 임피던스가 Z라 하면 단락 전류는 다음과 같이 구할 수 있습니다.

그런데 위의 %임피던스 식으로부터 임피던스를 %임피던스를 이용해 다음과 같이 표현할 수 있습니다.

이를 대입하여 단락 전류를 %임피던스를 이용해 나타낼 수 있습니다.

즉, 정격 전류와 %임피던스를 알고 있다면 단락 전류를 계산할 수 있게 됩니다.
(3) 단락 용량
위에서 단락 전류를 다음과 같이 구하였습니다.

여기서 양 변에 전압을 곱하면,

으로 단락 용량 역시 %임피던스를 이용해 구할 수 있습니다. 또, 여기서 조금 더 살펴보면 다음과 같이도 단락 용량을 계산할 수 있습니다.

(4) 고장계산 순서
고장계산은 보통 다음과 같은 방법으로 계산하게 됩니다.
① 기준 용량(Pn)의 선정 : 기준 용량은 임의로 선정할 수 있지만 %Z를 기준용량으로 환산하기 쉽게 계통 안에 있는 공통적인 값을 선정하는 것이 편리합니다.
② %Z를 기준용량으로 환산 : 다음과 같은 방법으로 자기 용량에 대한 %Z를 기준용량에 대해 환산하게 됩니다.

1번 단계에서 선정한 기준 용량에 대한 자기 용량의 비를 곱해 기준 용량으로 환산된 %Z를 구할 수 있습니다.
③ %Z 합산 : 회로의 구성에 따라 원하는 위치에서 %Z를 합산해 줍니다.
④ 단락 전류와 단락 용량의 계산 : 위에서 계산한 방법을 이용해 각각을 계산하게 됩니다.
3) 단위법(per unit method)
단위법은 %임피던스법과 의미는 같지만 백분율을 없애 표현하는 방법입니다.

%임피던스와 같은 방법을 이용해 활용할 수 있습니다.
'전기 > 전력공학' 카테고리의 다른 글
| [전력공학] 7-3. 고장 계산_발전기 고장 계산 (1) | 2020.06.27 |
|---|---|
| [전력공학] 7-2. 고장 계산_ 대칭 좌표법 (1) | 2020.06.25 |
| [전력공학] 6. 페란티 현상과 송전용량 및 전력계통의 연계 (0) | 2020.06.25 |
| [전력공학] 5. 전력원선도와 조상설비 (2) | 2020.06.17 |
| [전력공학] 4-2. 송전 특성_중거리 송전선로와 장거리 송전선로 (0) | 2020.06.08 |