1. 페란티 현상
1) 페란티 현상은 수전단 전압이 송전단 전압보다 높아지는 현상을 말합니다. 무부하의 경우 선로의 정전용량 때문에 전압보다 위상이 90º 앞선 충전 전류의 영향이 커져서 선로에 흐르는 전류가 진상이 되게 됩니다. 이 영향으로 인해 수전단 전압이 높아지는 현상이 발생하게 됩니다.
2) 페란티 현상 방지 대책
정전용량으로 인한 진상 전류에 의해 발생하므로 선로에 흐르는 전류가 지상이 되도록 조절하여 페란티 현상을 방지할 수 있습니다. 대표적으로 다음의 두 가지 방법을 사용합니다.
- 수전단에 분로리액터 설치
- 동기조상기의 부족여자 운전
이를 통해 페란티 현상을 방지할 수 있고, 벡터도로 살펴보면 다음과 같습니다.

오른쪽 그림과 같이 Ic인 충전 전류의 영향으로 진상전류가 되어 수전단 전압이 송전단 전압보다 커지는 것을 알 수 있습니다.
2. 송전용량
송전용량은 송전선로로 보낼 수 있는 최대전력을 말합니다. 앞서 송전선로를 살펴볼 때 단거리 송전선로와 장거리 송전선로를 나누어 해석을 했습니다. 따라서 송전용량도 단거리 또는 장거리인지에 따라 고려해야 할 사항들이 있습니다.
1) 송전용량 결정 시 고려사항
(1) 단거리 송전선로
- 전서의 허용전류
- 선로의 전압강하
단거리 송전선로의 경우 일반적으로 R, L만을 고려하기 때문에 위의 두가지를 고려해 송전용량을 결정하게 됩니다.
(2) 장거리 송전선로
- 송, 수전단 전압의 상차각이 적당할 것 : 장거리 송전선로에서는 보통 30~40º정도의 상차각으로 운전합니다.
- 조상기 용량이 적당할 것 : 조상설비 용량은 수전전력의 75% 정도로 고려합니다.
- 송전효율이 적당할 것 : 높을 수록 좋지만 어렵기 때문에 적어도 90% 이상을 유지하도록 합니다.
그러나 송전용량 역시 정확하게 계산하기는 어렵습니다. 따라서 다음과 같은 계략적인 계산법을 통해 송전용량을 계산하게 됩니다.
2) 송전용량의 계산
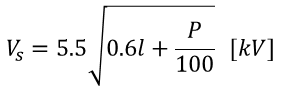
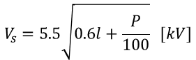
(1) Still의 식(경제적인 송전 전압)

여기서 l은 송전거리(km), P는 송전용량(kW)을 의미합니다.
(2) 고유 부하법

여기서 Vr은 수전단 선간 전압(kV), Z는 특성 임피던스입니다.
(3) 송전 용량 계수법

위와 같이 Vr은 수전단 선간 전압(kV), l은 송전거리(km)를 의미하고, k는 송전 용량 계수를 뜻합니다. 송전 용량 계수는 사용하는 전압에 의해 결정되는데 60[kV]의 경우 600, 100[kV]는 800, 140[kV]는 1200을 적용합니다.
(4) 송전 전력

Vs, Vr은 각각 송, 수전단 전압(kV), δ는 송수전단 전압의 위상차, X는 선로의 리액턴스를 의미합니다.
이렇게 일반적으로 네 가지 방법을 사용해서 송전용량을 계산할 수 있습니다.
3. 전력계통의 연계
전력계통의 연계는 전력 계통을 병렬로 운전하는 것을 의미합니다. 병렬로 운전하게 되니 전력계통의 규모가 증대되고 계통의 임피던스는 감소하게 됩니다. 따라서 전력계통을 연계함으로써 이외에 몇 가지 장점이 있지만 단점 또한 있으며 이는 다음과 같습니다.
1) 장점
- 전력의 융통성 증대로 설비 용량이 절감.
- 건설비 및 운전 경비를 절감하여 경제 급전이 용이.
- 계통 전체로서의 신뢰도가 증가.
- 부하 변동의 영향이 작아져 안정된 주파수 유지 가능.
2) 단점
- 연계설비를 신설 필요.
- 사고 시 타 계통으로 사고가 파급 및 확대 우려.
- 병렬 회로수가 많아지게 되어 선로 임피던스가 감소하여 단락 전류와 통신선의 전자유도 장해 증대.
'전기 > 전력공학' 카테고리의 다른 글
| [전력공학] 7-2. 고장 계산_ 대칭 좌표법 (1) | 2020.06.25 |
|---|---|
| [전력공학] 7-1. 고장 계산_ 단락 고장 (0) | 2020.06.25 |
| [전력공학] 5. 전력원선도와 조상설비 (2) | 2020.06.17 |
| [전력공학] 4-2. 송전 특성_중거리 송전선로와 장거리 송전선로 (0) | 2020.06.08 |
| [전력공학] 4-1. 송전 특성_단거리 송전선로 (0) | 2020.06.08 |