1. 전력 원선도
송전선의 운전 특성을 알기 위해선 전력원선도가 필요합니다.

이런 송전 선로가 있을 때, 부하가 증가하면 부하의 전류가 증가하게 되고, 수전단 전압은 감소하며 송전단 전압이 증가하게 됩니다. 따라서 부하전류 증가 시 전압을 조정하게 되면 전력기기에 절연 문제가 발생하게 되므로 송전단과 수전단의 전압은 일정하게 하고 부하 변화에 대해 상차각만 변화시키게 됩니다. 이 상차각 변화에 따라 전력 P, Q의 관계를 표시한 것이 전력원선도입니다.
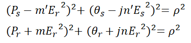
여기서 수전단과 송전단의 전력식을 적절하게 변환하면 다음과 같은 원의 방정식을 얻을 수 있습니다.

이를 그래프로 그리면,

이렇게 송전원과 수전원 두 가지의 원의 형태로 나타나게 됩니다. 가장 중요한 것은 정전압 송전방식에서 원의 반지름인 ρ=(VsVr)/b 는 항상 일정하기 때문에 송전 전력과 수전 전력은 항상 위의 원선도의 원주상에 존재해야 합니다. 이 원선도를 이용하면 송전 전력과 수전 전력의 크기를 알 수 있습니다. 다만 정밀하게 계산하여 구한 값과 달리 조금의 오차가 포함된다는 단점을 가지기도 합니다.
이 원선도로부터 알 수 있는 사항은 다음과 같습니다.
- 필요한 전력을 보내기 위한 송, 수전단 전압간의 상차각
- 송, 수전할 수 있는 최대 전력
- 선로 손실과 송전 효율
- 수전단의 역률
- 조상 용량
그리고 원선도만을 가지고 구할 수 없는 것들은 다음과 같습니다.
- 과도 안정 극한 전력
- 코로나 손실
2. 조상설비
조상설비는 송전선을 일정한 전압으로 운전하기 위해 필요한 무효전력을 공급하는 장치를 말합니다. 대표적으로 직렬 콘덴서, 전력용 콘덴서, 분로 리액터, 동기 조상기가 있습니다.
1) 콘덴서(직렬 콘덴서 방식)
진상 전류를 이용해 전압강하를 보상하는 방법입니다. 송배전 선로 도중에 직렬로 삽입하여 선로의 유도성 리액턴스를 보상하는 방법으로 선로 정수 그 자체를 변화시켜 선로의 전압강하를 감소시키는 방법입니다.
(1) 장점
- 유도 리액턴스를 보상하고 전압 강하를 감소시킨다.
- 수전단 전압 변동률을 경감시킨다.
- 최대 송전 전력이 증대하고 정태 안정도가 커진다.
- 부하 역률이 나쁠수록 효과가 크다.
- 용량이 작아 설비비가 저렴하다.
(2) 단점
- 단락 고장 시 콘덴서 양단에 고전압이 걸린다.
- 무부하 변압기에 직렬 콘덴서를 투입하는 경우 선로 전류가 증대한다.
- 고압 배전선에 설치하는 경우 자기 여자 현상이 일어날 수 있다.
- 과보상이 되면 동기기에 난조 또는 탈조가 발생할 수 있다.
2) 전력용 콘덴서
송배전 선로의 조상설비는 위와 같은 직렬 콘덴서 방식을 사용하고, 수전 설비에서의 조상설비로는 전력용 콘덴서를 사용합니다. 병렬 콘덴서 방식으로 부하와 병렬로 전력용 콘덴서를 연결해 지상전류를 보상하여 역률을 개선합니다.


그림과 같이 적절한 무효전력을 이용해 역률을 θ1에서 θ2로 보상하는 방법입니다. 그리고 용량은 다음 식을 통해서 구할 수 있습니다.
- 콘덴서 용량 산출

여기서 cosθ1은 개선 전 역률, cosθ2는 개선 후 역률을 말합니다. 이렇게 역률을 개선한 후에 얻을 수 있는 효과는 다음과 같습니다.
- 변압기와 배전선의 전력 손실 경감
- 전압 강하의 감소
- 설비 용량의 여유 증가
- 전기 요금의 감소
그러나 이 전력용 콘덴서는 단일로 사용하지 않고 방전 코일(DC, Discharge Coil)과 직렬 리액터(SR, Series Reactor)를 부속으로 설치해야 합니다. 방전코일은 콘덴서에 축적된 잔류 전하를 방전하여 감전 사고를 방지하고 선로에 재투입 시 콘덴서에 걸리는 과전압을 방지하기 위해 설치하며, 직렬 리액터의 경우 제5고조파로부터 전력용 콘덴서를 보호하고 파형 개선의 목적으로 사용됩니다.
여기서 직렬 리액터의 용량은 제5고조파의 영향을 줄이기 위해 사용하기 때문에 콘덴서의 제5고조파로 인한 리액턴스 성분과 동일한 크기의 리액턴스를 갖는 직렬 리액터를 선택해야 합니다.

따라서 이론적으로는 콘덴서 용량의 1/25인 4%를 적용해야 합니다. 그러나 실제로는 발생할 수 있는 여러 효과를 고려하고 조금의 여유를 주어 콘덴서 용량의 6%를 적용해 직렬 리액터의 용량을 계산해 적용하고 있습니다.
만약 전력용 콘데서를 이용해 역률이 과보상 되는 경우 다음과 같은 현상이 발생할 수 있습니다.
- 손실의 증가
- 단자 전압 상승
- 계전기 오동작
3) 리액터
리액터는 지상 전류를 이용해 이상전압의 상승을 억제합니다. 위의 직렬 리액터도 한 종류이며, 송전선로 및 부하설비에 사용하는 리액터는 다음과 같습니다.
| 리액터의 종류 | 역할 |
| 분로 리액터 | 페란티 현상의 방지 |
| 직렬 리액터 | 제 5고조파의 제거 |
| 한류 리액터 | 단락전류의 제한 |
| 소호 리액터 | 지락아크의 소호 |
4) 동기 조상기
무부하 운전중인 동기전동기를 과여자 운전하게 되면 콘덴서로 작용하고, 부족여자로 운전하면 리액터로 작용하게 됩니다. 이를 이용해 필요에 따라 적절하게 보상하는 방식입니다.
| 항목 | 전력용 콘덴서 | 분로 리액터 | 동기 조상기 |
| 전력 손실 | 적음 (0.3[%] 이하) | 적음 (0.6[%] 이하) | 많음 (1.5~2.5[%]) |
| 가격 | 저렴 | 저렴 | 비쌈(전력용 콘덴서, 분로 리액터의 1.5~2.5배) |
| 무효 전력 | 진상 전용 | 지상 전용 | 진상, 지상 양용 |
| 조정 | 계단적 | 계단적 | 연속적 |
| 사고 시 전압 유지 | 작음 | 작음 | 큼 |
| 시송전 | 불가능 | 불가능 | 가능 |
앞서 살펴본 조상설비는 이런 특징을 가지고 있습니다.
'전기 > 전력공학' 카테고리의 다른 글
| [전력공학] 7-1. 고장 계산_ 단락 고장 (0) | 2020.06.25 |
|---|---|
| [전력공학] 6. 페란티 현상과 송전용량 및 전력계통의 연계 (0) | 2020.06.25 |
| [전력공학] 4-2. 송전 특성_중거리 송전선로와 장거리 송전선로 (0) | 2020.06.08 |
| [전력공학] 4-1. 송전 특성_단거리 송전선로 (0) | 2020.06.08 |
| [전력공학] 3-2. 선로 정수 및 코로나 (1) | 2020.06.03 |