2. 대칭좌표법에 의한 고장 계산
3상 단락 고장은 평형 고장이기 때문에 옴법이나 %임피던스 법으로 간단하게 해결할 수 있지만 1선 지락과 같은 불평형 고장에서는 대칭좌표법을 이용해 풀어야 합니다. 이 대칭좌표법은 불평형전압이나 불평형 전류를 3개의 성분인 영상분, 정상분, 역상분으로 나누어 계산하는 방법입니다. 일반적인 고장인 3상 단락, 선간 단락, 1선 지락의 경우 고려해야할 대칭분은 다음과 같습니다.
| 고장 종류 | 대칭분 |
| 3상 단락 | 정상분 |
| 선간 단락 | 정상분, 역상분 |
| 1선 지락 | 정상분, 역상분, 영상분 |
1) 대칭분
불평형으로 나타나는 전압 또는 전류를 바로 해석하기 어렵기 때문에 이를 고장 종류에 따라 크게 3가지인 정상분, 역상분, 영상분의 평형한 대칭 성분으로 나누어 해석할 수 있습니다. 이들을 대칭분이라하며 각각은 다음과 같은 의미와 특징을 가지고 있습니다.
(1) 영상분(I0, V0) : 크기가 같고 같은 위상각을 가진 평형 단상 성분으로 영상 전류의 경우 지락 고장 시 접지 계전기를 동작시키고 통신선에 대해서는 전자유도장해를 일으키는 전류입니다. 그리고 영상 전류는 접지선을 통해 흐르게 되며, 비접지의 경우 흐르지 않습니다.
(2) 정상분(I1, V1) : 평형 3상 교류로 전원과 동일한 상회전 방향을 가진 성분입니다. 정상 전류의 경우 전동기에 흐르게 되면 전동기에 회전 토크를 주게 됩니다.
(3) 역상분(I2, V2) : 평형 3상 교류로 전원 상회전 방향에 반대 방향의 상회전 방향을 가진 성분입니다. 이 역상 전류가 전동기에 흐르게 되면 제동력을 주게 됩니다.
이들을 그림으로 살펴보면 다음과 같습니다.

이들을 합성하게 되면 다음과 같은 불평형 전압을 얻게 됩니다.

다시 말해, 이떤 불평형 전압 또는 전류를 대칭분인 영상분, 정상분, 역상분의 성분으로 나누어 표현할 수 있다는 것을 의미합니다.
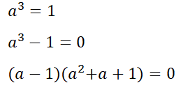
여기서 a는 상회전 각을 의미하며 다음과 같은 특징을 가지고 있습니다.

복잡해 보이지만 간단하게 a는 반시계 방향으로 120º 회전한 것을 의미합니다. a제곱의 경우 반시계로 120º도 두 번 회전한 것으로 반시계 방향 240º 회전 또는 시계방향 120º 회전한 것을 의미합니다. 그러니 a세제곱의 경우 자기 자리로 돌아오니 그대로 1이 되는 것입니다. 그 뒤의 식 같은 경우엔 다음을 통해 구할 수 있습니다.

여기서 a=1이 아니기 때문에 a^2+a+1=0이라는 결과를 얻을 수 있습니다.
그럼 이를 이용해 각 상의 전압과 전류, 발전기의 기본식까지 살펴보도록 하겠습니다.
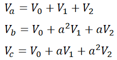
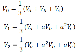
2) 전압
- 각상 전압

- 대칭분 전압

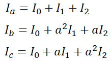
3) 전류
- 각상 전류

- 대칭분 전류

이와 같은 방법으로 각상의 전압 및 전류, 대칭분 전압 및 전류를 구할 수 있습니다. 식이나 그림을 눈으로만 보면 확 다가오진 않는데 직접 그려보고 대칭분을 분해해보면 쉽게 이해할 수 있습니다.
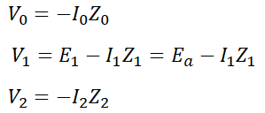
4) 발전기 기본식
발전기 식도 대칭분으로 분해해보면 다음과 같습니다.

발전기에 의해 발생되는 기전력은 정상분만 존재할 것이기 때문에 위와 같이 식이 나타난다는 것을 알 수 있습니다. 다음 포스팅에 이어서 발전기 고장계산에 직접 적용해 보며 그 이유를 다시 한 번 살펴보도록 하겠습니다.
'전기 > 전력공학' 카테고리의 다른 글
| [전력공학] 8. 유도 장해와 안정도 (0) | 2020.06.29 |
|---|---|
| [전력공학] 7-3. 고장 계산_발전기 고장 계산 (1) | 2020.06.27 |
| [전력공학] 7-1. 고장 계산_ 단락 고장 (0) | 2020.06.25 |
| [전력공학] 6. 페란티 현상과 송전용량 및 전력계통의 연계 (0) | 2020.06.25 |
| [전력공학] 5. 전력원선도와 조상설비 (2) | 2020.06.17 |