송전 선로는 송전단에서 수전단까지의 거리에 따라 단거리, 중거리, 장거리 선로로 구분하고 있습니다. 이에 따라 다음과 같이 필요한 선로 정수를 고려하고 특성을 살펴보기 위한 회로로 취급해 필요한 값들을 찾을 수 있습니다.
| 구분 | 거리 | 선로정수 | 회로 |
| 단거리 | 수 [km] | R, L만 고려 | 집중정수 회로로 취급 |
| 중거리 | 수 십 [km] | R, L, C만 고려 | T회로, π회로로 취급 |
| 장거리 | 수 백 [km] | R, L, C, g 고려 | 분포정수 회로로 취급 |
그럼 먼저 단거리 송전선로부터 살펴보도록 하겠습니다.
1. 단거리 송전선로
단거리 송전선로는 선로 길이가 짧기 때문에 Y=G+jωC [1/Ω]를 무시한 상태에서 집중정수 회로로 취급하여 다음과 같은 등가 회로를 이용해 특성을 해석합니다.

이렇게 집중정수 회로의 경우 Z=R+jωL [Ω]이 선로에 집중된 것으로 해석합니다.
1) 전압강하
위의 회로에서 Es는 송전단 전압, Ir은 송전단 전류, Er은 수전단 전압, Ir은 수전단 전류입니다. 그리고 이들을 벡터도로 그리면 다음과 같습니다.

위의 수전단 전압인 Er을 기준으로 그린 벡터도를 보면 송전단 전압은 수전단 전압과 저항과 임피던스의 전압강하의 합과 같다는 것을 알 수 있습니다.


여기서 전력 계통은 고효율 전력 전송을 목적으로 설계되므로 저항손과 대지정전 용량은 매우 작습니다. 따라서 이들을 무시하면 송전단 전압을 다음과 같이 계산할 수 있습니다.

이는 단상에 대한 식이므로 3상으로 등가하면,

그리고 전압강하는 송전전압과 수전전압의 차를 말하므로 다음과 같이 나타낼 수 있습니다.

전력과 전압의 관계에서 I를 구하면,

이를 위의 전압강하 식에 대입하면,

와 같이 계산할 수 있습니다.
2) 전압강하율과 전압변동률
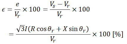
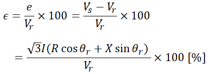
(1) 전압강하율
전압강하율은 수전전압에 대한 전압강하의 비를 백분율로 나타낸 것입니다.

위에서 전력을 이용해 구한 전압강하 e를 대입하면,

을 이용해서도 전압강하율을 계산할 수 있습니다.
(2) 전압변동률
전압변동률은 수전전압에 대한 전압변동의 비를 백분율로 나타낸 것입니다.

여기서 Vro는 무부하 상태에서의 수전단 전압을 말합니다. 전압강하율과 전압변동률 모두 수전단 전압이 기준이며, 송전단 전압과의 차(전압강하)는 전압강하율을, 무부하 시 수전단 전압과의 차는 전압변동률을 계산한다는 것을 유의하시기 바랍니다.
3) 선로 손실
선로 저항에 의한 손실이므로 다음과 같이 구할 수 있습니다.

여기서 전류 I는 다음과 같이 구할 수 있습니다.

에서,

이므로, 위의 선로 손실 식에 대입하면,

4) 전력손실율
전력손실율은 공급전력에 대한 전력손실의 비율을 말합니다.

따라서 전력손실율은 전압의 제곱에 반비례하며, 전력손실이 일정한 경우엔 공급전력은 전압의 제곱에 비례한다는 것을 알 수 있습니다.
이렇게 각각의 항목을 살펴보았습니다. 그리고 전압에 대해 정리하여 전압과 전압강하, 전압강하율, 전압변동률, 선로 손실, 전력손실율의 관계를 알 수 있었습니다.
| 관계 | 관계식 | 항목 |
| 전압의 제곱에 비례 | ![]() |
- 송전 전력(P) |
| 전압에 반비례 | ![]() |
- 전압 강하(e) |
| 전압의 제곱에 반비례 | ![]() |
- 전선의 단면적(A) - 전선의 총 중량(W) - 전력 손실(Pl) - 전압 강하율(ε) |
이는 승압의 목적과도 같습니다. 송전 전력은 전압의 제곱에 비례하므로 높은 전압으로 송전하는 것이 유리하며, 위의 전압과 반비례의 관계에 있는 전압 강하나 전력 손실, 전압 강하율 등과 같은 값들 또한 높은 전압으로 송전 할 때 감소시켜 손실을 줄일 수 있음을 알 수 있습니다.
몇 가지 예제를 살펴보겠습니다.
ex.1) 3상 3선식 선로에서 수전단 전압 6.6 [kV], 지상 역률 80 [%], 600 [kVA]의 3상 평형부하가 연결되어 있다. 선로 임피던스 R=3 [Ω], X=4 [Ω]인 경우 송전단 전압은?
송전단 전압은 다음의 식을 이용해 구할 수 있습니다.

따라서 주어진 각각의 조건을 대입하면 다음과 같이 구할 수 있습니다.

ex.2) 늦은 역률의 부하를 갖는 단거리 송전선로의 전압강하의 근사식은?
먼저 3상 전압강하는 다음의 식을 이용해 구할 수 있습니다.

여기서 I는 전력 P로부터 구하면,

이를 위 식에 대입하면,

이와 같이 구할 수 있습니다.
ex.3) 3상 3선식 송전선에서 한 선의 저항이 10 [Ω], 리액턴스가 20 [Ω]이고, 수전단의 선간 전압은 60 [kV], 부하 역률이 0.8인 경우, 전압 강하율이 10 [%]일 때, 이 송전 선로는 몇 [kW]까지 수전할 수 있는지 구하시오.
전압강하율은 다음의 식으로 구할 수 있습니다.

여기서 전압강하율이 10 [%]이고, 주어진 조건을 대입하면,

로 구할 수 있습니다.
'전기 > 전력공학' 카테고리의 다른 글
| [전력공학] 5. 전력원선도와 조상설비 (2) | 2020.06.17 |
|---|---|
| [전력공학] 4-2. 송전 특성_중거리 송전선로와 장거리 송전선로 (0) | 2020.06.08 |
| [전력공학] 3-2. 선로 정수 및 코로나 (1) | 2020.06.03 |
| [전력공학] 3-1. 선로 정수 및 코로나 (0) | 2020.06.02 |
| [전력공학] 2. 역률의 특성과 전기요금 (0) | 2020.02.06 |


