지난번 표준 Feed-back 제어계의 블록선도를 통해 전달함수를 구해 보았습니다. 이 전달함수를 통해 특성방정식을 구할 수 있고, 이 특성방정식을 통해 제어계의 특성을 알 수 있습니다. 따라서 오늘은 이 특성방정식에 대해 알아보도록 하겠습니다.

앞서 살펴 보았듯이 위 블록선도로부터 전체전달함수 M(s)를 구할 수 있습니다.

여기서 전체전달함수를 M(s)로 표현한 것은 분자의 순방향 전달함수와 구분을 짓기 위해 다른 문자를 사용했습니다.
이때 분모식으로 나타나는 1+G(s)H(s)를 0으로 만드는 식을 특성방정식이라 합니다.

이 것이 왜 특성방정식이 되는지 한 번 알아보도록 하겠습니다.
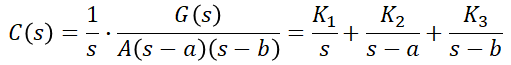
먼저 한 가지 가정이 필요한데, 이 특성방정식 1+G(s)H(s)=A(s-a)(s-b)의 형태로 인수분해가 가능하다고 가정하겠습니다. 간단한 2차함수의 형태를 띄고 있다면 근의 공식을 이용해 위와 같이 인수분해를 하는 것은 크게 어렵지 않을 것입니다. 그렇다면, 전체전달함수 M(s)는 다음과 같이 표현할 수 있습니다.

입력은 간단한 단위계단입력을 주도록 하겠습니다.

이 응답특성을 보기 위해 역 라플라스 변환이 필요하므로, 부분분수 전개를 합니다.

역 라플라스 변환을 하게 되면,

로 표현할 수 있습니다. 테두리를 친 곳을 보니 감이 오시나요?
결국, 전체전달함수의 부모항이 인수분해가 가능하여 위와 같이 역 라플라스 변환한 후에 지수함수의 항이 나타나게 된다면 응답 c(t)가 발산할지, 수렴할지 그 출력 특성을 결정하는 것은 a, b가 된다는 것을 알 수 있습니다.
따라서 전체전달함수의 분모인 1+G(s)H(s)가 A(s-a)(s-b)의 형태로 나타낼 수 있다면, A(s-a)(s-b)=0의 근인 a와 b의 값에 따라 출력특성이 결정되기 때문에 전체전달함수 분모를 0으로 만드는 식, 1+G(s)H(s)=0을 특성방정식이라고 부르는 것입니다.
전체전달함수 M(s)에서 알아야 할 것이 한 가지 더 있습니다. 바로 영점(Zero)으로, M(s)=0으로 만드는 값입니다.

결국, M(s)의 분자를 0으로 만드는 값으로, 단위 Feed-back제어계에서는 G(s)=0가 되는 값입니다.
다음으로 극점(Pole)이 있습니다. 이는 전체전달함수 M(s)를 무한대로 만드는 값입니다.

결국, M(s)의 분모를 0으로 만드는 값이므로 극점은 특성방정식의 근임을 알 수 있습니다.
이 영점은 복소평면상에서 기호 O로 표현하고, 극점은 기호 X로 표현하고 있습니다.
주의할 점은 영점과 극점 모두 순방향 전달함수나 개루프 전달함수가 아닌 전체전달함수에서 구해야합니다.
그럼 간단한 예제를 살펴보겠습니다.
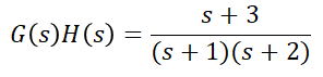
ex.1) 개루프전달함수가 다음과 같을 때, 부궤환 제어계의 특성방정식은?

주의해야할 부분이 보이시나요? 바로 특성방정식은 1+G(s)H(s)=0인데 문제에서 주어진 것은 개루프 전달함수입니다. 따라서 특성방정식에 위의 개루프전달함수를 대입하여 계산하면,

이 되고, s에 대해 식을 정리하면,

이 방정식이 바로 특성방정식이며, 이 방정식의 해를 특성근이라고 합니다.
ex.2) 전달함수가 다음과 같을 때, 영점과 극점을 구하시오.

특별한 언급이 없으면 위의 G(s)가 전체전달함수를 의미하므로 영점과 극점을 바로 구하면
(1) 영점 : G(s)=0으로 만드는 값, 분자=0인 방정식의 해라는 것을 알 수 있습니다.

의 해를 구하면,

영점은 위의 두 값이라는 것을 알 수 있습니다.
(2) 극점 : G(s)를 무한대로 만드는 값, 분모=0인 방정식의 해이므로,

위 식으로부터

위의 값이 극점이 되는 것입니다.
이들을 복소평면상에 표현해보면,

와 같이 나타낼 수 있습니다.
이렇게 전달함수에서 알 수 있는 특성방정식의 의미와 영점과 극점에 대해 알아보았습니다. 이 내용을 잘 숙지해야 아후 과도 응답, 근의 위치별 응답특성에 대한 내용을 이해하기 수월하니 특성방정식에 대해서는 정확하게 기억하시기 바랍니다.
'전기 > 제어공학' 카테고리의 다른 글
| [제어공학] 6. 특성방정식의 근의 위치별 응답특성 (1) | 2020.01.22 |
|---|---|
| [제어공학] 5. 1차, 2차 지연 제어계의 과도 응답 (1) | 2020.01.20 |
| [제어공학] 3. 자동제어계의 과도응답 (0) | 2020.01.20 |
| [제어공학] 2. 신호흐름선도 (1) | 2020.01.17 |
| [제어공학] 1. 블록선도 (10) | 2020.01.16 |