지난번 전달함수로부터 영점과 극점을 구하고, 이들의 위치에 따라 응답특성이 달라진다는 것을 알았습니다. 그러면 위치에 따라 응답이 어떻게 나타나는지 몇 가지에 대해 직접 그래프를 그려보며 살펴보겠습니다.
먼저 대표적인 경우로 영점과 극점이 다음과 같을 때 4가지 경우로 나누어 보겠습니다.

여기서 ①영점과 극점이 모두 좌반면에 존재하는 경우, ②영점은 없고 극점만 좌반면에 존재하는 경우, ③영점과 극점 모두 우반면에 존재하는 경우, ④영점은 없고 극점만 우반면에 존재하는 경우로 나누었습니다.
1. 영점과 극점이 모두 좌반면에 존재하는 경우
위 그래프에서 영점과 극점이 모두 좌반면이므로 위치는 다음과 같습니다.

식을 간단하게 하기위해 입력은 단위임펄스입력으로 가정하고, 전달함수를 구해보면,

영점은 전달함수의 분자를 0으로 만드는 값이고, 극점은 분모를 0으로 만드는 값이므로 위와같이 구할 수 있습니다. 그리고 단위임펄스입력을 가정했으므로 R(s)=1이고, 응답 C(s)=G(s)가 되므로 위 식을 역 라플라스변환하면,

와 같이 나타난다는 것을 알 수 있습니다. 여기서 a와 b값에 적당한 수를 넣고 그래프를 그려보면,

이렇게 시간이 지날 수록 일정한 값을 향해 가고 있는 것 즉, 안정하다는 것을 알 수 있습니다.
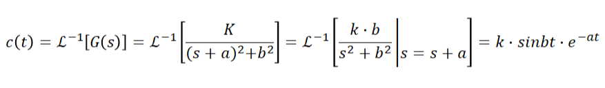
2. 영점은 없고 극점만 좌반면에 존재하는 경우

의 경우 입니다. 전달함수를 구하면,

입력 R(s)=1인 단위임펄스입력을 가정하고, 응답 c(t)를 구하면,

이 응답을 그래프로 그려보도록 하겠습니다.

이 경우도 시간의 흐름에 따라 일정한 값으로 수렴하고 있으므로 안정하다는 것을 알 수 있습니다.
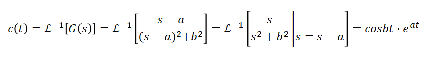
3. 영점과 극점 모두 우반면에 존재하는 경우

의 경우입니다. 전달함수를 구해보면,

입력 R(s)는 단위임펄스입력을 가정하고, 응답 c(t)를 구해보면

그래프를 그려보면 다음과 같습니다.

지난번에 살펴본것과 같이 극점이 우반면에 존재하게 되니 응답이 발산한다는 것을 알 수 있습니다. 즉, 불안정하다는 것이죠.
4. 영점은 없고, 극점은 우반면에 존재하는 경우

의 경우입니다. 전달함수를 구해보면,

단위 임펄스 입력일 때 응답 c(t)를 구하면,

그래프를 그려보겠습니다.

역시 극점이 우반면에 존재하니 응답이 발산하여 안정하지 않다는 사실을 알 수 있습니다.
즉, 그래프를 통해 알 수 있듯이 극점이 좌반면에 존재해야 제어계가 안정하고, 우반면에 존재할 경우 불안정하다는 것을 알 수 있습니다. 이 이야기는 곧 특성방정식의 근이 좌반면에 존재해야 안정하다는 뜻입니다.
'전기 > 제어공학' 카테고리의 다른 글
| [제어공학] 8. 형에 의한 제어계의 분류 및 입력에 따른 정상편차 (0) | 2020.01.22 |
|---|---|
| [제어공학] 7. 과도응답의 시간특성 및 정상편차 (0) | 2020.01.22 |
| [제어공학] 5. 1차, 2차 지연 제어계의 과도 응답 (1) | 2020.01.20 |
| [제어공학] 4. 특성방정식 (6) | 2020.01.20 |
| [제어공학] 3. 자동제어계의 과도응답 (0) | 2020.01.20 |