- 블록선도 : 블록선도는 자동 제어계 내에서 신호가 전달되는 모양을 알기 쉽게 일정한 형식으로 그림을 그려 나타낸 선도입니다.
1. 블록선도의 구성
1) 전달요소 : 입력을 받아 출력으로 변환시키는 요소입니다.

이렇게 G(s)의 형태로 표현되는 것을 전달함수라고 이야기합니다.
2) 화살표 : 위 그림에서 신호의 흐름 방향을 보여주고 있습니다.
3) 가산점 : 어떤 신호가 가산되는 지점입니다.

4) 인출점 : 단위 피드백 제어계와 같은 형태에서 신호가 인출되는 지점입니다.

이렇게 블록선도의 구성 자체는 굉장히 간단합니다. 그럼 전기계 기본요소에서 블록선도는 어떻게 표현되는지 살펴보도록 하겠습니다.
2. 전기계 기본요소의 블록선도
1) R 회로

기본적인 R 회로입니다. R 양단에 걸리는 전압을 v(t)라 했을 때, 이를 수식으로 표현하면

이렇게 표현할 수 있습니다. 블록선도로 표현하기 위해 이 식을 라플라스 변환을 하게 되면

가 되겠죠? 이때, ①입력이 I(s), 출력이 V(s)인 경우와 ②입력이 V(s), 출력이 I(s)인 경우를 블록선도로 표현하면,

위와 같이 표현할 수 있습니다.
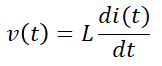
2) L 회로

기본적인 L 회로입니다. R 회로와 같이 L 양단에 걸리는 전압을 v(t)라 했을 때, 이를 수식으로 표현하면

로 표현할 수 있습니다. 이를 라플라스 변환을 하게 되면,

이때, ①입력이 I(s), 출력이 V(s)인 경우와 ②입력이 V(s), 출력이 I(s)인 경우를 블록선도로 표현하면,

로 나타낼 수 있습니다.
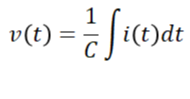
3) C 회로

기본적인 C 회로입니다. 역시 C 양단에 걸리는 전압을 v(t)라 했을 때, 이를 수식으로 표현하면

로 표현할 수 있습니다. 이를 라플라스 변환을 하게 되면,

이때, ①입력이 I(s), 출력이 V(s)인 경우와 ②입력이 V(s), 출력이 I(s)인 경우를 블록선도로 표현하면,

로 나타낼 수 있습니다.
즉, 전기계 기본요소의 블록선도에서는 I(s)를 입력으로 보았을 때 임피던스가 전달함수가 된다는 것을 알 수 있습니다.
3. 전기회로의 블록선도 구성
그렇다면 간단한 전기회로에서 블록선도를 어떻게 구성하고, 그리는지 다음의 R-C 직렬 회로를 살펴보도록 하겠습니다.

여기에서 전류 i(t)와 출력인 C양단간 전압 vo(t)를 수식으로 표현하면 다음과 같습니다.

이 두 식을 라플라스 변환하게 되면,

로 나타낼 수 있습니다. 이제 이 각각의 식을 블록선도로 표현해보도록 하겠습니다.

여기서 각각 태두리친 I(s)와 Vo(s)는 같은 값들 이므로 이 부분들을 합치게 되면,

다음과 같이 표현할 수 있습니다. 여기서 다시 출력을 I(s)로 표현하게 되면,

와 같이 표현할 수 있습니다.
4. 표준 Feed-back 제어계의 블록선도
위의 R-C회로를 블록선도로 나타내었을 때와 같은 형태를 표준 Feed-back 제어계의 블록선도라고 표현합니다. 즉,

로 표현할 수 있습니다. 이 제어계의 전달함수를 구하기 위해서는 입력 R에 대한 출력 C의 비율을 구해야 합니다. 따라서 위 블록선도에서 알 수 있는 식을 정리해 보면 다음과 같습니다.

여기서 C(s)=E(s)G(s) 식에 각각의 값들을 대입하면,

좌변을 C(s), 우변을 R(s)에 대해 정리하면,

이 식으로부터 구하고자 한 R에 대한 C의 비율인 C/R의 형태로 식을 정리하면 다음과 같습니다.

이것이 바로 구하고자 한 표준 Feed-back 제어계의 전달함수입니다. 이 식에서 각각의 의미를 살펴보면,
1) 분자의 G(s)는 순방향 전달함수를 의미합니다.
2) 분모의 G(s)H(s)는 개루프 전달함수를 의미합니다.
3) 분모의 H(s)는 되먹임 전달함수를 의미합니다. 이 H(s)=1인 제어계를 단위 Feed-back 제어계라고 합니다.

각각의 전달함수들이 어떻게 활용되는지는 이후에 천천히 알아보도록 하겠습니다.
'전기 > 제어공학' 카테고리의 다른 글
| [제어공학] 6. 특성방정식의 근의 위치별 응답특성 (1) | 2020.01.22 |
|---|---|
| [제어공학] 5. 1차, 2차 지연 제어계의 과도 응답 (1) | 2020.01.20 |
| [제어공학] 4. 특성방정식 (6) | 2020.01.20 |
| [제어공학] 3. 자동제어계의 과도응답 (0) | 2020.01.20 |
| [제어공학] 2. 신호흐름선도 (1) | 2020.01.17 |