- 신호흐름선도 : 신호흐름선도는 블록선도보다도 신호의 흐름을 간략하게 표현하는 방법입니다.
1. 신호흐름선도의 구성
1) 마디(Node) : 신호흐름선도에서 신호의 변수를 표현하는 부분입니다.
2) 가지(Branch) : 신호의 전달특성 및 방향을 나타내는 부분입니다.
그럼 간단한 예를 통해 살펴보도록 하겠습니다.
ex.1) 먼저 가장 간단한 블록선도를 보도록 하겠습니다.

이 블록선도를 신호흐름선도로 표현하면

마디에는 변수를, 가지에는 전달함수를 써주어 간단하게 위와 같이 표현할 수 있습니다.
ex.2) 표준 Feed-back 제어계의 블록선도의 신호흐름선도도 살펴보도록 하겠습니다.

위와 같은 방법으로 변수와 가산점, 인출점을 노드로 나타내고 신호 흐름을 가지로 연결하면

이와 같이 표현할 수 있습니다.
ex.3) 그럼 지난 번에 살펴보았던 R-C직렬회로에서의 신호흐름선도는 어떻게 그리는지 살펴보도록 하겠습니다.

블록선도를 그릴때와 같은 방법으로 i(t)와 vo(t)에 대한 식을 써보면,

역시 각각을 라플라스 변환하게 되면,

로 나타낼 수 있습니다. 여기서

로 다시 쓸 수 있는데, 편의를 위해 각각의 항을 나눠서 신호흐름선도를 그려보도록 하겠습니다.

여기서 붉은 테두리의 I는 위 식에서 알 수 있듯이 같은 변수이므로 이 둘을 합치게 되면,

또한, 여기서도 붉은 테두리의 I도 같은 변수이므로 이 둘을 합치게되면 최종적으로

위와 같이 간단하게 표현할 수 있습니다.
그렇다면 이렇게 신호흐름선도를 보고 우리는 전달함수를 찾을 수 있어야 합니다. 물론, 블록선도를 보고 해석하는 방법과 같은 방법으로 신호흐름선도를 통해 전달함수를 구할 수 있지만, 다른 방법으로 간단하게 전달함수를 구할 수 있습니다.
이 방법을 간이 전달함수법이라 하고, 먼저 식을 보고 각각의 의미를 본 뒤 예제를 통해 적용방법을 알아보겠습니다.
2. 간이 전달함수법
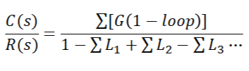
간이 전달함수법의 식은 다음과 같습니다.

각각의 의미는 다음과 같습니다.
1) G : 각각의 순방향 경로의 이득
2) loop : 각각의 순방향 경로에 접촉하지 않는 이득
3) ΣL1 : 각각의 모든 폐루프 이득의 곱
4) ΣL2 : 서로 접촉하고 있지 않은 2개의 L1의 곱. 즉, L1이 2개 이상 있을 때 나타나는 항입니다.
3) ΣL3 : 서로 접촉하고 있지 않은 3개의 L1의 곱. 역시 L1이 3개 이상 있을 때 나타나는 항입니다.
일반적으로 여러 교재에서 다루는 예제문제를 통해 어떻게 적용하여 전달함수를 찾는지 확인해보도록 하겠습니다.
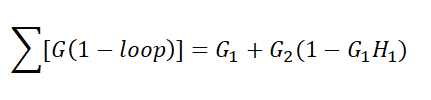
ex.4)

(1)그럼 먼저 순방향 경로의 이득을 살펴보겠습니다. 다음의 두 가지 경로가 있다는 것을 알 수 있습니다.

즉, 순방향 경로 이득은 G1과 G2 두 가지라는 것을 알 수 있습니다.
(2)다음으로 loop를 살펴보면 하나가 있음을 알 수 있습니다.

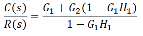
그러나 이 루프 G1H1은 위의 빨간색 경로의 순방향 경로의 이득과 접촉하고 있고, 파란색 경로와는 접촉하지 않습니다. 따라서 간이 전달함수법에서 구하고자하는 분자의 식은

에서 G1항의 loop는 없고, G2항의 loop는 G1H1이므로

위와 같이 나타낼 수 있습니다.
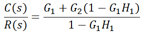
(3)그럼 마지막으로 분모항을 구하도록 하겠습니다.
보다시피 형성하고 있는 폐루프 이득은 G1H1 하나이므로 분모항은 간단하게 다음과 같음을 알 수 있습니다.

이들을 종합하여 정리하면 이 문제의 전달함수는

로 간단하게 구할 수 있습니다.
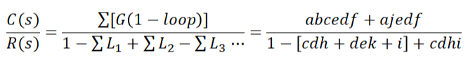
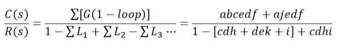
ex.5)

(1) 순방향 경로 이득을 살펴보면 두 가지 경로가 있다는 것을 알 수 있습니다.

이 두 경로 모두의 경우 각각의 경로와 접촉하지 않는 이득이 없으므로 분자항은 간단하게

로 나타낼 수 있습니다.
(2) 다음으로 신호흐름선도에서 알 수 있는 폐루프를 보면

의 세 가지가 있음을 알 수 있습니다. 따라서 각가의 모든 폐루프 이득의 곱은 다음과 같습니다.

(3) 그런데 이 문제에서는 L2항이 존재하고 있습니다. 위 그림에서 알 수 있듯이 빨간색 루프와 초록색 루프는 서로 접촉하고 있지 않습니다. 따라서 이 둘의 곱이 바로 L2항이 되는 것입니다.

그러므로 이들 모두를 종합해 위 신호흐름선도로부터 전달함수를 구하면

이렇게 전달함수를 나타낼 수 있습니다.
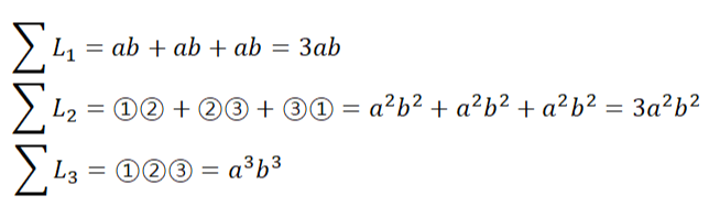
ex.6)

앞서 두 문제를 풀어봤기 때문에 이번엔 조금 더 빠르게 접근해보도록 하겠습니다.
(1) 순방향 경로의 이득은 하나만 존재함을 알 수 있고, 이 경로에 접촉하지 않는 이득은 없으므로 분자항의 loop는 존재하지 않는다는 것을 알 수 있습니다.
(2) 다음으로 3개의 폐루프는 서로 접촉하고 있지 않으므로 3개의 루프는 L2와 L3항을 만들게 될 것입니다.
따라서 먼저 순방향 경로의 이득을 구해보면,


에서 알 수 있듯이 L1, L2, L3는

이므로 구하고자하는 전달함수는

위와 같다는 것을 알 수 있습니다.
이렇게 블록선도에 이어서 신호흐름선도까지 살펴보았습니다. 간이 전달함수법을 이용해 신호흐름선도를 해석하는 것은 몇 가지 문제를 더 풀어보시면 쉽게 이해할 수 있을 것입니다.
'전기 > 제어공학' 카테고리의 다른 글
| [제어공학] 6. 특성방정식의 근의 위치별 응답특성 (1) | 2020.01.22 |
|---|---|
| [제어공학] 5. 1차, 2차 지연 제어계의 과도 응답 (1) | 2020.01.20 |
| [제어공학] 4. 특성방정식 (6) | 2020.01.20 |
| [제어공학] 3. 자동제어계의 과도응답 (0) | 2020.01.20 |
| [제어공학] 1. 블록선도 (10) | 2020.01.16 |