1. 상태방정식
상태방정식은 고차의 미분방정식을 여러개의 1차 미분방정식으로 바꿔 표현한 것을 의미합니다. 이 상태방정식이 필요한 이유를 알아보기 위해 지금까지 우리가 살펴본 제어계를 보면 다음과 같습니다.

그러나 이렇게 하나의 입력과 하나의 출력만을 가지는 것이 아니라 여러개의 입력과 여러개의 출력을 가지는 경우도 있습니다.

그럼 하나의 입력과 하나의 출력에 대응하던 전달함수 G(s)를 사용하기엔 무리가 있어 보입니다. 따라서 여러 입력과 여러 출력이 있는 제어계에서 사용하는 것이 다변수계의 상태변수이고, 이를 식으로 표현한 것이 상태방정식입니다.
1) 일반식

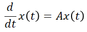
상태방정식의 일반식은 위와 같습니다. 여기서 모든 변수와 계수들은 행렬이니 항상 주의하셔야 합니다. 그리고 좌변은 다음과 같이 사용하기도 합니다.

두 번 미분되었다면 변수위에 점 두개로 표현하겠죠?
2) 출력식

위의 제어기를 보면 상태변수를 거쳐 나온 것이 출력이라는 것을 알 수 있습니다.
3) 특성방정식

우리는 지금까지 전체 전달함수를 통해 특성방정식을 구할 수 있었습니다. 그리고 이 전달함수라는 것은 입력에 대한 출력의 비였습니다. 따라서 상태방정식에서 전달함수와 그로부터 특성방정식을 구해보도록 하겠습니다.

위와 같은 상태방정식의 일반식으로부터 전달함수를 구하기 위해 라플라스 변환을 하면,

X(s)에 대해 정리하면,

양변에 sI-A의 역함수를 곱하면,

로 나타낼 수 있습니다.
다음으로 출력식

으로부터, 이를 라플라스 변환하게 되면,

여기에 위에서 구한 X(s)를 대입하면,

일반적으로 상태변수의 초기값은 0이므로, 위 식을 다시 쓰면,

이제 양변을 R(s)로 나눠주게 되면,

위와 같이 정리할 수 있습니다. 따라서 이렇게 구한 전달함수의 분모를 0으로 만드는 식인 det(sI-A)=0이 바로 특성방정식이 되는 것이죠. 한가지 예를 통해 상태방정식이 어떤식으로 나오는지 살펴보도록 하겠습니다.
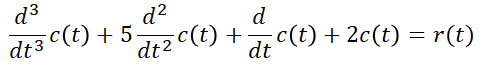
ex.1) 다음과 같은 상태방정식으로부터 계수행렬 A와 특성방정식, 특성근을 구하시오.

먼저 상태방정식은 고차 미분방정식을 여러 개의 1차 미분방정식으로 만드는 것이라 하였습니다. 따라서 위의 미분된 각각의 항들을 상태변수로 다음과 같이 표현합니다.




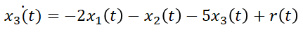
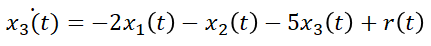
이렇게 보니 x1, x2, x3를 각각 한번 미분한 식은 x1, x2, x3, r로 표현할 수 있습니다. 따라서 위에서 살펴본 상태방정식의 일반식처럼 표현하기 위해 위 식들을 다시 쓰면,



위와 같이 쓸 수 있습니다. 따라서 이 식을 모아 행렬식으로 작성하면,

이렇게 일반식의 형태로 작성하여 계수행렬 A를 쉽게 찾을 수 있습니다. 그리고 특성방정식은 다음과 같았습니다.

따라서 우리가 구한 각각의 행렬을 대입해보면,

이므로,


로 특성방정식을 구할 수 있습니다. 당연히 특성근은 위의 방정식을 해결하면 구할 수 있습니다.
* 참고 3x3 행렬의 행렬식
저도 어느 시점에 배웠는지 기억은 나지 않지만 아마 제어공학을 공부하시는 분들이라면 한번쯤은 접하셨을 것입니다. 그런데 잘 사용하지 않다보니 잊고지내기도해서 필요하신 분들은 참고하시기 바랍니다.
다음과 같은 3x3 행렬이 있습니다.

이 행렬의 행렬식을 구하는 방법은 사람마다 차이가 있지만 저의 경우 다음과 같이 합니다. 이 행렬식의 첫째, 둘째열의 원소들을 행렬 뒤에 작성합니다.

그런 다음 a부터 시작해 c까지는 오른쪽 대각선 아래로 곱해서 더해주고, 다시 c부터 시작해 왼쪽 대각선 아래로 곱해서 빼줍니다.

빨간선 방향으로는 곱해서 더하고, 파란선 방향으로는 곱해서 빼주는 겁니다. 그럼 행렬식은,

위와 같이 구할 수 있습니다.
2. 상태천이행렬
상태천이행렬은 어떤 상태가 시간에 따라 어떻게 변화하는지를 나타낸 것입니다. 입력 r(t)=0이고 초기조건만이 주어졌을 때, 초기시간 이후에 나타나는 계통의 시간적이 추이상태 즉, 시간적인 변화상태를 나타내는 식을 바로 상태천이행렬이라고 합니다. 또한, 이 상태천이행렬은 항상 입력 r(t)=0이라는 전재를 가지고 있습니다.
1) 일반식

일반식은 위와 같습니다. 그럼 왜 이렇게 나타나는지 살펴보도록 하겠습니다. 먼저 우리는 앞서 상태방정식의 일반식을 살펴보았습니다.

그런데 상태천이행렬은 입력 r(t)=0일 때 이 함수가 어떻게 변화하는지를 보는 행렬이니 다시 쓰면,

이라는 상태방정식에서 출발해야 합니다. 이를 라플라스 변환하면,

X(s)에 대해 정리하면,

이고, 양 변에 sI-A의 역함수를 취하면,

이를 역 라플라스 변화하게 되면,

가 됩니다. 여기서 x(0)는 상태변수의 초기값이고, 전재가 입력 r(t)=0이므로 다시말하면, 입력이 0인 상태에서 t=0인 초기조건이 주어지면 초기시간 이후에 시간함수가 어떻게 나타나는지를 알 수 있는 것이 바로 상태천이행렬입니다. 그러므로 위의 빨간색 테두리 안의 식을 상태천이행렬이라고 부릅니다.
그리고 다시 상태방정식을 보면,

이와 같은 형태의 미분방정식의 해는 공업수학이나 기타 미분방정식의 풀이를 공부하며 다음과 같은 해를 가진다는 것을 알고 있습니다.

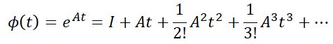
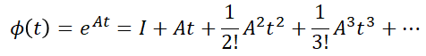
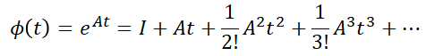
위 식에 대입해보면 적절한 해 임을 알 수 있습니다. 따라서 우리는 이로부터 상태천이행렬을 다음과 같이 쓸 수 있습니다.

또한 e^(At)는 행렬 At의 멱급수 형태로도 나타낼 수 있습니다.

2) 상태천이행렬의 특성
상태천이행렬의 특성은 위 식에서 출발합니다.

지수함수의 형태를 가지고 있으므로 지수함수의 특성을 가지고 있습니다. 대표적으로 기억할만한 4가지 특성을 보면,




의 4가지가 있습니다. 모두 지수함수를 잘 이해하고 있다면 어렵지 않게 이해할 수 있습니다. 한 가지 예제를 통해 직접 상태방정식으로부터 상태천이행렬을 구해보도록 하겠습니다.
ex.1) 다음과 같은 상태방정식으로부터 상태천이행렬을 구하시오.

상태천이행렬의 일반식은 다음과 같았습니다.

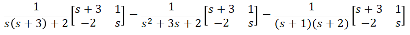
따라서 먼저 sI-A를 구해보면,

이 행렬의 역함수를 구하면,

이 행렬을 역 라플라스변환해야 하므로 정리하면,

앞의 분수식을 전부 행렬 안으로 집어넣고 부분분수 전개하면,

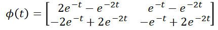
이를 역 라플라스 변환을 하면 상태천이행렬을 구할 수 있습니다.

'전기 > 제어공학' 카테고리의 다른 글
| [제어공학] 13. 근궤적 (6) | 2020.01.28 |
|---|---|
| [제어공학] 12. 보드선도 안정도 판별법 (3) | 2020.01.27 |
| [제어공학] 11-2. 제어계의 안정도(나이퀴스트 안정도 판별법) (1) | 2020.01.26 |
| [제어공학] 11-1. 제어계의 안정도(루스법) (0) | 2020.01.26 |
| [제어공학] 10. 보드선도 (0) | 2020.01.25 |