바로 전 상대안정도를 알 수 있는 방법으로 나이퀴스트 안정도 판별법에 대해 소개하고 간이화 나이퀴스트 안정도 판별법까지 알아보았습니다.
이 간이화 나이퀴스트 안정도 판별법에서 우리는 특성방정식 F(s)=1+G(s)H(s)를 이용하는 것이 아니라 개루프 전달함수 G(s)H(s)의 주파수 응답인 개루프 주파수 전달함수 G(jw)H(jw)를 이용해 안정도를 판별하였습니다.
그런데 그 전 주파수 응답에 대해 살펴보며 우리는 주파수 전달함수를 이용해 보드선도를 그렸습니다. 그렇다면 역시 간이화 나이퀴스트 안정도 판별법에서 사용한 G(jw)H(jw)를 이용해 보드선도를 그릴 수 있고, 이로부터 상대안정도를 판별할 수 있습니다. 이 방법이 바로 보드선도 안정도 판별법입니다.
- 보드선도 안정도 판별법
어떤 제어계의 개루프 전달함수가 G(s)H(s)라고 하면, 그에 대한 주파수 응답은 다음과 같았습니다.

여기서 이 주파수 전달함수의 크기를 이득이라하고, 밑이 10인 상용로그를 취해 로그스케일로 표현하였습니다.

위상은 다음과 같았습니다.

그리고 이들의 보드선도가 만약 다음과 같이 그려졌다고 가정하겠습니다.

대충 이러한 형태로 그려질 것입니다. 그리고 지난번 우리가 간이화 나이퀴스트 선도를 살펴보며 알게 된 사실을 다시 한 번 보도록 하겠습니다.

여기서 제어계의 안정조건이 두 가지가 있었습니다.
1) 개루프 주파수 전달함수가 음의 실수축과 만나는 점(Q점)이 -1보다 커야 합니다.
2) 개루프 주파수 전달함수의 크기가 1인 점에서 음의 실수축 간에 형성되는 사이각이 180도 보다 작아야합니다.
그런데 이 것을 보드선도의 관점에서 다시 생각해보면, 이 안정조건을 다시 쓰면 다음과 같습니다.
1') 위상곡선이 -180도인 지점(개루프 주파수 전달함수가 음의 실수축과 만나는 점인 Q점)에서의 이득값이 음수여야 합니다. 이득값은

이므로, G(jw)H(jw)의 크기가 0과 1사이에 있다면 이득값은 로그스케일에서 음수로 나타날 것이기 때문입니다.
2') 이득곡선이 0 [dB]와 교차하는 점(개루프 주파수 전달함수의 크기가 1인 점)에서의 위상차가 -180도 보다 커야 합니다. 위의 안정한 제어계를 나타내는 간이화 나이퀴스트 선도에서 P점에서의 위상인 θ가 약 -150도라 하면, 음의 값이기 때문에 -180도보다 큰 것입니다(-150>-180).
따라서 말의 차이가 있긴 하지만 같은 개념이라는 것을 이해할 수 있을 것입니다.
결국, 보드선도에서 알 수 있는 이득여유와 위상여유를 다시 정리하면 다음과 같습니다.
- 이득여유 : 위상곡선이 -180도인 지점에서 크기가 0 [dB]로부터의 여유
- 위상여유 : 이득곡선이 0 [dB]인 지점에서 위상이 -180도로부터의 여유
보드선도에서 살펴보면,

이렇게 보드선도로부터 이득여유와 위상여유를 찾을 수 있습니다.
몇 가지 예제를 살펴보겠습니다.
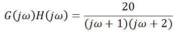
ex.1) 개루프 주파수 전달함수가 다음과 같을 때, 이득 여유는?

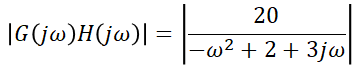
이득 여유를 구해야 하므로 위 개루프 주파수 전달함수의 크기가 위상 곡선이 -180도와 교차하는 지점인 허수부가 0이 되는 점에서의 크기를 구하면 됩니다. 따라서,

이므로, 허수부를 0으로 만드는 w=0을 대입하면,

따라서 이득 여유는,

가 됩니다.
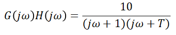
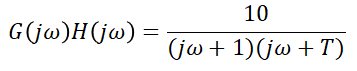
ex.2) 개루프 주파수 전달함수가 다음과 같을 때, 이득 여유를 20 [dB] 보다 크게 하기 위한 T의 값은?

역시 개루프 주파수 전달함수의 크기를 구한 뒤 허수부를 0으로 만드는 w를 대입해 구하면,

이로부터 이득 여유를 구하면,

이 값이 20보다 커야 하므로,


여기서 로그는 밑이 10인 상용로그이므로,


로 구할 수 있습니다.
이렇게 안정도의 판별은 결국 전체 전달함수 T(s)의 극점이 모두 좌반면에 존재할때, 이는 결국 특성방정식의 영점(특성근)이 우반면에 존재하지 않을 때를 찾아내는 것이고, 안정하다면 임계안정한 범위까지 얼마나 그 크기와 위상이 여유를 가지는지를 통해 상대안정도까지 알 수 있었습니다.
따라서 이 개념만 잘 이해하고 있고, 그래프가 그려지는 원리에 대해서는 간략하게만 알고 있어도 그 그래프를 보며 안정도를 해석하는데에는 크게 어려움이 없을 것입니다.
'전기 > 제어공학' 카테고리의 다른 글
| [제어공학] 14. 상태방정식과 상태천이행렬 (6) | 2020.01.29 |
|---|---|
| [제어공학] 13. 근궤적 (6) | 2020.01.28 |
| [제어공학] 11-2. 제어계의 안정도(나이퀴스트 안정도 판별법) (1) | 2020.01.26 |
| [제어공학] 11-1. 제어계의 안정도(루스법) (0) | 2020.01.26 |
| [제어공학] 10. 보드선도 (0) | 2020.01.25 |