제어계의 안정도는 크게 두 가지가 있습니다.
- 절대 안정도
지금까지 전달함수를 통해 살펴본 방법이 바로 절대안정도입니다. 지난번 포스팅을 보시면 극점이 모두 좌반면에 존재할 경우 제어계가 안정하다는 사실을 알 수 있었습니다. 이와 같이 전달함수, 특성방정식을 통해 제어계가 절대적으로 안정한지를 나타내는 것이 절대안정도입니다.
- 상대 안정도
말 그대로 안정하다면 얼마나 안정한지를 나타내는 안정도입니다. 이를 알기 위해 지난번 주파수 함수와 벡터 궤적에 대해 살펴보았는데, 그때 나온 주파수 이득과 위상이 안정하다면 얼마나 안정한지 나타내게 됩니다.
따라서 이런 절대 안정도와 상대 안정도를 판별하는 방법이 각각 존재합니다. 이번 포스팅에선 먼저 절대 안정도를 알 수 있는 루스법에 대해 설명드리겠습니다.
- 루스법
루스법은 절대안정도를 알아보는 방법입니다. 우리가 극점의 위치를 통해 안정도를 판별한 것처럼 루스법도 특성방정식을 이용하며, 이 특성방적식의 계수를 통해 제어계의 절대안정도를 알 수 있습니다.
그럼 다음과 같은 특성방정식이 있다고 가정하겠습니다.

루스법은 이 특성방정식의 계수를 표로 작성하여 안정도를 살펴보는 것입니다. 이 루스표는 먼저 s^n항부터 한 차수씩 건너뛰며 차례로 다음과 같이 작성합니다.

s^n항의 계수가 a0였으므로 a0부터 쓰고, 이후 한 칸씩 건너뛰며 a2, a4, a6을 작성합니다. 같은 방법으로 s^(n-1)항의 계수가 a1이므로 역시 한 칸씩 건너뛰며 a3, a5, a7을 작성합니다. 이렇게 작성하고 s^(n-1)밑에 s^(n-2)항의 계수부터는 이 두 줄의 원소들을 통해 계산을 해야 합니다.

계산된 각각의 원소를 다음과 같이 작성하고 저 쯤부터 0이 나오기 시작했다고 가정하도록 하겠습니다. 여기서 A1의 계산은 바로 윗 행의 첫번째 원소를 분모로 가지고, 첫 열 위 두 원소와 A1이 포함된 열의 바로 다음 열의 위의 두 원소의 대각선의 곱의 차를 분자로 가집니다. 말로 표현하면 어려우니 그림과 식을 통해 다시 보도록 하겠습니다.


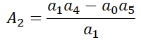
원래대로라면 -(a0a3-a1a2)이지만 편의를 위해 저는 위와 같이 암기하고 사용하고 있습니다. 그러나 문제는 A2항부터이고, 여기서부터 주의하지 않으면 혼동이 생길 수 있습니다. 먼저 서술한것처럼 A2의 분모는 바로 윗 행의 첫번째 원소인 a1을 분모로 가지고, 첫 열 위 두 원소인 a0와 a1과 A2가 포함된 열의 바로 다음 열의 위의 두 원소인 a4, a5와 서로 대각선곱의 차가 A2의 분자가 됩니다. 다시 그림으로 설명드리면,


가 됩니다. 이제 이해가 되셨을 겁니다. 그럼 A3도 구해보도록 하겠습니다.


만약 A4, A5 이후로 존재한다면 계속해서 위와 같은 방법으로 계산하면 됩니다. 그럼 이어서 s^(n-3)차의 원소들도 구해보도록 하겠습니다.

같은 방법으로 바로 B1을 구해보도록 하겠습니다. 바로 윗 행의 첫번째 계수인 A1을 분모로 가지고, 첫째 열의 두 원소인 a1, A1과 B1을 포함한 열의 바로 다음 열의 윗 두 원소인 a3과 A2의 대각선 곱의 차가 분자가 됩니다.


B2부터는 이제 바로 보이실 겁니다.


이제 B3부터 재밌는 사실이 있습니다. B3를 계산하려고보니 B3의 오른쪽 열에 0이 포함되어 있습니다. 따라서 계산을 하면 다음과 같습니다.


이렇게 0위의 원소와 같은 값을 가지게 됩니다. 따라서 0이 나타난 행이 있다면 이 0의 좌측 아래의 원소는 0의 바로 위의 원소와 같으니 계산할 필요가 없어지게 됩니다.

이렇게 반복하며 가장 낮은 차수까지 루스표를 계속해서 작성해 주시면 됩니다.
이렇게 표를 작성하고나면 우리가 궁금한 안정도를 이 표를 통해 알 수 있습니다. 바로 특성방정식으로부터 알 수 있는 안정조건이 이 루스표를 이용하고 있습니다. 이 안정조건은 다음과 같습니다.
* 안정 조건
(1) 모든 차수의 계수가 존재할 것.
(2) 모든 차수의 계수 부호가 일치할 것.
(3) 루스표의 제 1열 원소의 부호가 변화하지 않을 것.
이 3번째 조건으로부터 우리가 절대안정도를 판별하는 것입니다. 위의 <루스표 1-9>에서 만약 s^(n-3)차 항으로 표가 마무리 되었다면, a0, a1, A1, B1의 부호(음수 또는 양수인지)의 변화가 없다면 이 제어계는 안정하다고 할 수 있습니다.
또한, 제 1열의 원소 부호가 변화한다면(불안정) 이 부호가 변화하는 횟수만큼 특성근이 우반부에 존재한다고 할 수 있습니다.
그러나 특수한 경우에 이 루스표를 위와 같이 확실하게 작성할 수 없는 경우가 있습니다. 따라서 이런 경우 보조방정식을 통해 해결하고 있는데, 그 방법까지 살펴보도록 하겠습니다.
* 특수한 경우
1) 루스표의 어느 한 행의 제 1열 원소가 0이고, 나머지는 0이 아닌 경우.
이런 경우에는 특성방정식 F(s)에 적당한 (s+α)를 곱하여 구합니다. 주의할 점은 이 (s+α)는 특성방식의 중근이나 공액이 되는 근은 제외해야 합니다. 간단한 예제를 통해 살펴보도록 하겠습니다.
ex.1) 다음과 같은 특성방정식으로부터 루스표를 이용해 제어계의 안정도를 판별하시오.

루스표를 작성하기 위해 식을 모두 전개하면,

이를 이용해 루스표를 작성해보도록 하겠습니다.

이렇게 나타나게 되면 A1의 분모가 0이 되어 A1은 무한대가 되므로 제어계의 안정도를 판별할 수 없게 됩니다. 따라서 이 특성방정식에 적당한 (s+α)를 곱해서 새로운 루스표를 작성해야 합니다. 그런데 조건이 특성방정식의 중근이나 공액이 되는 근은 제외해야 하므로 특성방정식의 근을 보게 되면,

으로부터 s=1과 s=-2, 그리고 s=-1, s=2는 제외해야 한다는 것을 알 수 있습니다. 따라서 숫자가 너무 커지지 않도록 (s+3)을 곱해 계산해보도록 하겠습니다. 그럼 새로운 특성방정식은 다음과 같습니다.

새로운 특성방정식을 F'(s)라 하고, 루스표를 작성하기 위해 식을 전개하면,

이렇게 모든 차수의 계수가 존재하게 되어 우리가 원하는 루스표를 작성할 수 있게 됩니다. 따라서 루스표를 그려보면,

로 작성할 수 있습니다. 이제 각 원소들을 구해보면, A2는 우측 윗 열의 원소가 0이므로 0의 바로 윗 값인 6이 될 것이고, A1은 공식을 이용해 계산하면,


가 되어 윗 행과 원소 부호가 변하므로 이 제어계는 불안정하다는 것을 알 수 있습니다. 연습을 위해 모든 루스표를 체워보면,


그리고 자연스럽게 C1은 오른쪽 위의 값이 0이므로 6이 된다는 사실을 알 수 있습니다. 따라서,

이렇게 루스표를 작성하고, 이를 통해 제어계의 안정도를 판별할 수 있습니다.
2) 루스표 어느 한 행의 모든 원소가 0인 경우
이런 경우에는 모든 원소가 0이 되는 행의 바로 위 행 원소의 계수값으로 보조방정식을 세워 구해야 합니다. 역시 예제를 통해 살펴보도록 하겠습니다.
ex.2) 특성방정식이 다음과 같을 때, 루스표를 통해 안정도를 판별하시오.

루스표 작성을 위해 전개하면,

루스표를 작성하면,

이제는 보자마자 A2와 C1은 2, B2는 0이라는 것을 알 수 있습니다. 그럼 나머지를 계산해보면,

이렇게 나타나게 됩니다. s차항의 원소들이 모두 0이므로 첫째열의 부호 변화를 판별할 수가 없습니다. 따라서 바로 윗 행 원소의 계수값으로 다음과 같이 보조방정식을 세워야 합니다. 이 새로운 보조방정식을 F'(s)라 하면, 루스표 규칙에 의해 다음과 같이 쓸 수 있습니다.

그리고 이 방정식을 s에 대해 미분했을 때 s의 계수가 바로 우리가 구하고자하는 s차항의 새로운 원소가 됩니다.

따라서 위의 루스표에 이 계수를 대입하여 보조방정식으로부터 얻은 새로운 루스표를 작성하면,

위와 같이 루스표를 작성해 안정도를 판별할 수 있습니다.
물론, 위 두 예제 모두 안정 조건에 의하면 모든 차수의 계수가 존재하지 않거나 모든 차수의 계수 부호가 일치하지 않아 안정하지 않다는 것을 미리 알 수는 있었습니다. 하지만 모든 차수의 계수가 존재하고, 부호도 일치하여 루스표를 이용해서 절대안정도를 판별해야하는 상황에서 위와 같은 경우가 나타날 수 있으니 꼭 숙지하시기 바랍니다.
'전기 > 제어공학' 카테고리의 다른 글
| [제어공학] 12. 보드선도 안정도 판별법 (3) | 2020.01.27 |
|---|---|
| [제어공학] 11-2. 제어계의 안정도(나이퀴스트 안정도 판별법) (1) | 2020.01.26 |
| [제어공학] 10. 보드선도 (0) | 2020.01.25 |
| [제어공학] 9. 주파수 응답과 벡터 궤적 (2) | 2020.01.22 |
| [제어공학] 8. 형에 의한 제어계의 분류 및 입력에 따른 정상편차 (0) | 2020.01.22 |