- 보드선도(Bode Plot)
보드선도는 주파수 응답을 나타내는 그래프입니다. 입력 주파수에 따른 크기 응답과 위상 응답 두 개의 그래프로 구성되어 있습니다. 가로축은 모두 로그스케일로 나타나는 입력주파수이고, 크기 응답은 다음과 같습니다.

주파수 전달함수의 크기에 밑이 10인 로그를 취한 형태이며 단위는 데시벨을 사용하고 있습니다. 위상 응답은 다음과 같습니다.

지난번 포스팅에서 주파수 전달함수의 크기와 위상을 구하는 방법을 살펴보았으니 보드선도를 그리기 위한 위의 크기 응답과 위상 응답을 구하는 것은 크게 어려움은 없을 것입니다. 그럼 기본요소들의 크기 응답과 위상 응답을 살펴보겠습니다.
1) 비례요소

주파수 응답을 구하기 위해 s에 jw를 대입하면, 크기 및 위상 응답은 간단하게 구할 수 있습니다.

이므로,


따라서 주파수 변화에 관계없이 크기 및 위상 응답은 일정한 값을 가진다는 것을 알 수 있습니다.
2) 미분요소

s에 jw를 대입하면,

이로부터 크기 및 위상 응답을 구하면,


여기서 보드선도는 가로축을 로그스케일을 사용하고 있으므로 크기 응답의 계수인 20n이 바로 보드선도의 기울기가 됩니다.
3) 적분요소

s에 jw를 대입하면,

따라서 크기 및 위상 응답은,


4) 1차 지연 요소

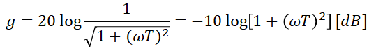
s에 jw를 대입하면,

따라서 크기 응답과 위상 응답은,


가 됩니다. 가로축이 로그스케일이고, 밑이 10인 상용로그를 사용하고 있으므로 이 그래프를 직접 그려보기 위해 wT에 0.1, 1, 10, 100으로 10의 거듭제곱 꼴의 값을 대입하며 크기와 위상 응답을 구해보겠습니다.




이로부터 보드선도를 다음과 같이 그릴 수 있습니다.

위와 같이 그리고, 위의 크기 응답을 그린 곡선을 이득 곡선, 위상 응답을 그린 곡선은 위상 곡선이라고 말합니다. 그래프를 보면, wT가 1인 지점에서 크기 응답의 값이 급격하게 변화하고 있습니다. 이렇게 급격한 변화가 생기는 주파수를 절점주파수라고 합니다.
* 절점주파수 : 크기 응답이 급격하게 변화가 생기는 지점을 말하며 실수부와 허수부가 같아지는 지점에서 발생합니다.

에서, 실수부와 허수부가 같아지는 지점은

가 됩니다. 이때의 크기를 보면,

가 되는 지점입니다.
이 보드선도를 이용해서 제어계의 안정도를 판별할 수 있습니다. 따라서 보드선도를 그리는 방법과 의미를 잘 숙지하시기 바랍니다.
'전기 > 제어공학' 카테고리의 다른 글
| [제어공학] 11-2. 제어계의 안정도(나이퀴스트 안정도 판별법) (1) | 2020.01.26 |
|---|---|
| [제어공학] 11-1. 제어계의 안정도(루스법) (0) | 2020.01.26 |
| [제어공학] 9. 주파수 응답과 벡터 궤적 (2) | 2020.01.22 |
| [제어공학] 8. 형에 의한 제어계의 분류 및 입력에 따른 정상편차 (0) | 2020.01.22 |
| [제어공학] 7. 과도응답의 시간특성 및 정상편차 (0) | 2020.01.22 |