1. 주파수 응답
주파수 응답은 진폭이 일정한 다양한 주파수의 입력 신호가 어떤 시스템에 들어왔을 때, 어떤 응답을 내는지 측정하는 것입니다. 응답의 크기는 데시벨 단위로 측정하며 보통 증폭기같은 시스템을 분석하는 데 사용하고 있습니다.
지금까지 살펴봤던 시간응답과 큰 차이 없이 변수가 시간이 아닌 주파수인 함수입니다.

주파수 응답에서 알아야 할 것은 크게 두 가지가 있습니다.
1) 진폭비 : 입력 진폭에 대한 출력 진폭입니다.

2) 위상차 : 입력 위상과 출력 위상가의 차이입니다.
위 주파수 응답에선 세타로 표현하고 있습니다. 이 둘을 그래프를 통해 살펴보면 다음과 같습니다.

2. 주파수 전달함수
그렇다면 주파수 전달함수는 어떻게 표현할까요? 간단하게 우리가 지금까지 살펴본 전달함수 G(s)의 s대신 jw를 대입하면 그 것이 바로 주파수 전달함수가 됩니다.

그리고 이 주파수 전달함수로부터 알 수 있는 것이 두 가지가 있습니다. 바로 주파수 이득과 위상차입니다.
1) 주파수 이득 : 주파수 이득은 주파수 전달함수의 크기를 의미합니다.

2) 위상차 : 위상차는 주파수 전달함수의 각도를 의미합니다.

전달함수라는 것이 결국 입력과 출력의 비이므로 주파수 전달함수의 크기와 각도가 주파수 이득과 위상차가 된다는 것은 직관적으로 이해할 수 있습니다.
그럼 주파수 전달함수의 형태에 따라 이 주파수 이득과 위상차가 어떤 형태인지 몇 가지 살펴보도록 하겠습니다.
3) 주파수 전달함수의 기본적인 형태
(1) G(jw)=a+jb


이렇게 복소평면에서 크기와 위상을 구하면 됩니다.
(2) G(jw)=(a+jb)/(c+jd)


(3) G(jw)=jb/(c+jd)


(4) G(jw)=(a+jb)/jd


그럼 이들로부터 이제부터 기본요소의 주파수 전달함수와 그 주파수 전달함수의 벡터궤적을 살펴보겠습니다.
3. 기본요소의 주파수 전달함수 및 벡터 궤적
- 벡터궤적 : 벡터궤적은 위와 같이 나오는 주파수 함수에서 w를 0에서 무한대까지 값을 변형시키면서 그 크기와 위상을 표현한 것을 말합니다. 각각의 요소별로 그래프를 직접 그려보며 살펴보겠습니다.
1) 비례요소

jw항이 없으니 K가 양수라면 복소평면에 다음과 같이 표현할 수 있습니다.

2) 미분요소

이제 jw항이 나왔으니 자세히 살펴보시면 됩니다. 먼저 w=0이면 값은 0이고, 무한대가 된다면 무한대로 발산할 것입니다. 따라서 그래프를 그리면 다음과 같습니다.

이렇게 미분요소의 벡터궤적을 그릴 수 있습니다.
3) 적분요소

이 경우에는 w=0에서 무한대고, w가 무한대로 갈 수록 음의 0으로 수렴한다는 것을 알 수 있습니다.

4) 1차지연요소

위의 방식과 같이 주파수이득과 위상을 구해보면,

로 나타낼 수 있습니다. 이렇게 주파수 이득과 위상차를 한꺼번에 표현할 수도 있습니다. 그럼 벡터궤적은 wT의 크기의 변화에 따라 바뀌게 될 텐데, wT가 0, 1, 무한대일때로 나누어 살펴보겠습니다.



가 됩니다. 그럼 이들을 그래프로 나타내면,

위와 같이 벡터 궤적이 나타나게 됩니다.
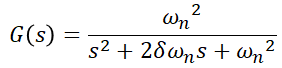
5) 2차 지연 요소

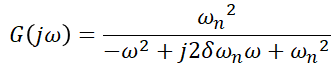
s에 jw를 대입하면,

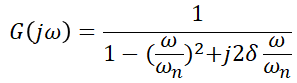
간략화 하기 위해 분모, 분자를 wn으로 나누어 주겠습니다.

여기서 wn은 고유진동각주파수로 변화하지 않는 값이므로 더욱 직관적으로 보기 위해 w/wn을 치환합니다.

벡터궤적을 살펴보기 위해 크기와 위상으로 다시 써보면,

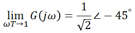
여기서 람다를 0, 1, 무한대로 보내며 그 값을 보면,



따라서 벡터궤적을 그리면 다음과 같습니다.

6) 부동작요소

이와 같은 부동작 요소에서는 wt의 값에 따라 벡터궤적이 바뀐다는 것을 알 수 있습니다. 따라서,




크기는 일정하고 위상만 변하고 있으므로, 다음과 같은 벡터궤적이 나타나게 됩니다.

몇 가지 예제도 살펴보도록 하겠습니다.
ex.1) 전달함수가 다음과 같을 때 벡터궤적을 그리시오.

벡터궤적을 그리기 위해 s에 jw를 대입하고 정리하면,

먼저 크기를 구해보면,

분모를 w에 대해 내림차순으로 정리하면,

여기서 바로 위상을 구하면,

w를 0과 무한대로 보내며 값을 보면,


이므로 그래프는 다음과 같이 그릴 수 있습니다.

ex.2) 전달함수가 다음과 같을 때, 벡터궤적을 그리시오.

주파수 함수로 바꾸기 위해 s에 jw를 대입하겠습니다.

이 주파수 함수의 크기를 먼저 구하면,

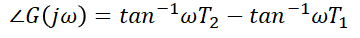
위상은,

w를 0과 무한대로 보내면,


여기서 w가 무한대로 갈 때 두 가지 경우가 나뉠 수 있습니다.
1) T1>T2 : T2/T1<1
2) T1<T2 : T2/T1>1
따라서 이 두 가지 경우를 고려해 벡터궤적을 그려보면 다음과 같습니다.

이렇게 전달함수가 주어지면 벡터궤적을 그릴 수 있지만 매번 하기엔 번거로움이 있습니다. 그래서 전달함수의 일반적인 형태에서 벡터궤적을 그려보면 다음과 같습니다.
7) 일반적인 전달함수 형태에서의 벡터궤적
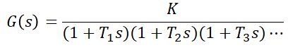
(1)

이러한 형태의 전달함수의 경우 벡터궤적은 분모항의 갯수에 따라 달라지게 됩니다. 만약 분모항이 1+T1s만 존재하면 K에서 출발해 바로 0으로 가게 될 것입니다.
그러나 위에서 살펴본것 처럼 분모항이 1+T2s까지 나타나 분모가 2차식이되면 허수축을 지나 돌아서 벡터궤적이 0을 향해 가게 됩니다.
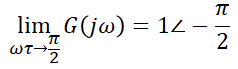
그렇다면 1+T3s항까지 존재해 분모가 3차식이 된다면 여기서 실수축을 지나 돌아서 0을 향해 가게 됩니다. 그래프를 그려보면 다음과 같습니다.

(2)

이러한 형태의 전달함수의 벡터궤적은 l값에 따라 시작 위치가 바뀌게 되고, 분모항의 갯수에 따라 위의 경우와 같이 축을 돌아가게 됩니다.

이렇게 일반적인 형태의 전달함수의 경우 규칙성을 띄기 때문에 벡터궤적을 그릴 때, 기억하고 있다면 한결 수월하게 그릴 수 있습니다.
'전기 > 제어공학' 카테고리의 다른 글
| [제어공학] 11-1. 제어계의 안정도(루스법) (0) | 2020.01.26 |
|---|---|
| [제어공학] 10. 보드선도 (0) | 2020.01.25 |
| [제어공학] 8. 형에 의한 제어계의 분류 및 입력에 따른 정상편차 (0) | 2020.01.22 |
| [제어공학] 7. 과도응답의 시간특성 및 정상편차 (0) | 2020.01.22 |
| [제어공학] 6. 특성방정식의 근의 위치별 응답특성 (0) | 2020.01.22 |