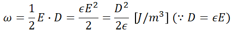
1. 유전율 ε, 전계의 세기 E인 유전체의 단위 체적에 축적되는 에너지는?
단위 체적에 축적되는 에너지는 다음과 같습니다.

2. 그림과 같은 동축원통의 왕복 전류회로가 있다. 도체 단면에 고르게 퍼진 일정 크기의 전류가 내부도체로 흘러 들어가고 외부 도체로 흘러 나올 때, 전류에 의해 생기는 자계에 대해 틀린 것은?

① 외부 공간(r>c)의 자계는 영(0)이다.
② 내부 도체 내(r<a)에 생기는 자계의 크기는 중심으로부터 거리에 비례한다.
③ 외부 도체 내(b<r<c)에 생기는 자계의 크기는 중심으로부터 거리에 관계없이 일정하다.
④ 두 도체 사이(내부 공간)(a<r<b)에 생기는 자계의 크기는 중심으로부터 거리에 반비례한다.
① r<c; 외부 도체 외의 공간이므로 이때의 자계를 H1이라 하면,

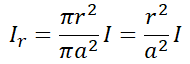
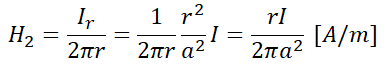
② r<a; 내부 도체 안의 자계를 H2, 반지름 r내를 흐르는 전류인 쇄교 전류를 Ir이라 했을 때 Ir은

이고, 주회 적분 법칙에 의해,

따라서 위 식을 대입하면,

이 되므로 자계의 크기가 중심으로부터 거리에 비례한다는 것을 알 수 있습니다.
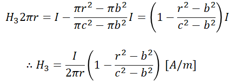
③ b<r<c; 이때의 자계를 H3이라하면,

따라서, b<r<c에 생기는 자계의 크기는 중심으로부터 거리에 반비례한다는 것을 알 수 있습니다.
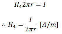
④ a<r<b; 이때의 자계를 H4라 하면,

이므로 자계는 중심으로부터 거리에 반비례한다는 것을 알 수 있습니다.
3. 반경 a인 구도체에 -Q의 전하를 주고 구도체의 중심 O에서 10a 되는 점 P에 10Q의 점전하를 놓았을 때, 직선 OP위의 점 중에서 전위가 0이 되는 지점과 구도체의 중심 O와의 거리는?
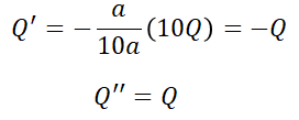
전위가 0이되는 지점을 M, 비접지 구도체 내의 두 영상 전하를 Q', Q''라 하고, 그림을 그려보면 다음과 같습니다.

점 P의 점전하 10Q에 의한 두 영상 전하를 Q', Q''는,

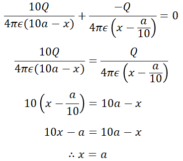
가 됩니다. 여기서 구도체에 준 전하 -Q는 영상전하 Q''=Q와 중화되기 때문에 점 P의 10Q와 영상전하 Q'=-Q에 의한 전위 VM=0조건에 의해,

가 된다는 것을 알 수 있습니다.
4. 다음 중 틀린 것은?
① 도체의 전류밀도 J는 가해진 전기장 E에 비례하여 온도변화와 무관하게 항상 일정하다.
② 도전율의 변화는 원자구조, 불순도 및 온도에 의하여 설명이 가능하다.
③ 전기저항은 도체의 재질, 형상, 온도에 따라 결정되는 상수이다.
④ 고유저항의 단위는 [Ω·m]이다.
먼저 저항은,

입니다. 여기서 고유저항 ρ에 대해 정리하면,

그리고 도전율은 고유저항의 역수이므로,

입니다. 그리고 전류밀도는 도전율과 전기장의 곱이므로,

입니다.
만약 t1 [ºC]에서의 고유저항을 ρ1, t2 [ºC]에서의 고유저항을 ρ2라 하면,

이 성립하므로 고유저항은 온도변화에 관계가 있습니다. 따라서 전류밀도는 도전율에 비례하기 때문에 고유저항과는 반비례하므로 고유저항의 온도변화와 관계가 있다는 것을 알 수 있습니다.
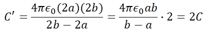
5. 내구의 반지름이 a[m], 외구의 내반지름이 b[m]인 동심 구형 콘덴서의 내구의 반지름과 외구의 내반지름을 각각 2a[m], 2b[m]로 증가시키면 이 동심구형 콘덴서의 정전용량은 몇 배로 되는가?
동심 구형 콘덴서의 정전용량은 다음과 같습니다.

내구와 외구의 반지름을 각각 2배로 늘린 정전 용량을 C'라 하면,

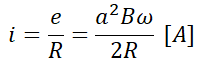
6. 그림과 같은 단극 유도장치에서 자속 밀도 B[T]로 균일하게 반지름 a[m]인 원통형 영구자석 중심축 주위를 각속도 ω[rad/s]로 회전하고 있다. 이 때 브러시(접촉자)에서 인출되어 저항 R[Ω]에 흐르는 전류는?

단극 유도장치에 의한 기전력을 구하기 위해 먼저 미소길이 dr에 대한 유도 기전력 de를 구하면,

그럼 반지름 a인 원통형 단극유도자이의 유도기전력 e는 이를 적분하여 구할 수 있습니다.

따라서 유도기전력에 의한 전류는,

10. 자극의 세기가 8X10^(-6) [Wb], 길이가 3[cm]인 막대자석을 120[AT/m]의 평등 자계 내에 자력선과 30º의 각도로 놓으면 이 막대자석이 받는 회전력은?
평등 자계 내에 놓여진 막대자석의 회전력은 다음의 식으로 구할 수 있습니다.

12. 자기 쌍극자에 의한 자위 U[A]에 해당되는 것은?(단, 자기 쌍극자의 자기 모멘트는 M[Wb·m], 쌍극자의 중심으로부터 거리는 r[m], 쌍극자의 ㅈ어방향과의 각도는 θ)
자기쌍극자에 의한 자위는 다음과 같습니다.

13. 두 개의 자극판이 놓여 있을 때 자계의 세기 H[AT/m], 자속 밀도 B[Wb/m^2], 투자율 μ[H/m]인 곳의 자계의 에너지 밀도 [J/m^3]는?
자계 내에 저장되는 단위 체적당 자기 에너지는,

B=μH [Wb/m^2]에서 μ가 일정하면,

로 구할 수 있습니다.
14. 길이 l[m], 단면적의 반지름 a[m]인 원통이 길이 방향으로 균일하게 자화되어 자화의 세기가 J[Wb/m^2]인 경우, 원통 양단에서의 전자극의 세기 m[Wb]는?
자화의 세기는 다음과 같습니다.

따라서 전자극의 세기 m은,

로 구할 수 있습니다.
15. 평면 전자파에서 전계의 세기가 E=5sinω(t-x/v) [μV/m]인 공기 중에서의 자계의 세기는?
먼저 고유 임피던스는,

따라서 자계의 세기는,

16. 비유전율이 10인 유전체를 5[V/m]인 전계 내에 놓으면 유전체의 표면전하밀도는? (단, 표면과 전계는 직각)
유전체의 표면 전하밀도 σ'는 분극의 세기 P와 같으므로,

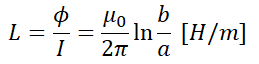
17. 내경의 반지름이 1[mm], 외경의 반지름이 3[mm]인 동축 케이블의 단위 길이 당 인덕턴스는?(단, μr=1, 내부인덕턴스는 무시)
동축 케이블의 외부인덕턴스는,

이므로, 각각을 대입하면,

19. 반경 r1, r2인 동심구가 있다. 반경 r1, r2인 구 껍질에 각각 +Q1, +Q2의 전하가 분포되어 있는 경우 r1≤r≤r2에서의 전위는?
반경 r1≤r≤r2에서의 전위 Vr은 반경 r2인 외구의 표면전위 V2와 반경 r~r2사이의 전위차 Vr2의 합으로 Vr=V2+Vr2가 성립합니다. 그럼 먼저 외구의 표면전위 V2를 구하면,

그리고 r~r2 사이의 전위차 Vr2는,

따라서 구하고자 하는 반경 r에서의 전위 Vr은,

로 구할 수 있습니다.
20. 다음 ( )안의 ㉠과 ㉡에 들어갈 알맞은 내용은?
- 도체의 전기전도는 도전율로 나타내는데 이는 도체 내의 자유전하밀도에 (㉠)하고, 자유전하의 이동도에 (㉡)한다.
도전율을 다음과 같습니다.

여기서 n은 단위체적당 전하의 수, q는 한 개 입자의 전하량[C], μ는 하전입자의 이동도, ρ는 체적전하밀도 [C/m^2]이므로, 도전율은 전하밀도와 이동도에 비례한다는 것을 알 수 있습니다.
'전기 > 전기기사 문제풀이' 카테고리의 다른 글
| [전기기사] 2015년 2회. 전기기기_41~60 (0) | 2020.09.24 |
|---|---|
| [전기기사] 2015년 2회. 전력공학_21~40 (0) | 2020.09.24 |
| [전기기사] 2015년 1회. 회로이론_71~80 (0) | 2020.09.22 |
| [전기기사] 2015년 1회. 제어공학_61~70 (0) | 2020.09.22 |
| [전기기사] 2015년 1회. 전기기기_41~60 (0) | 2020.09.21 |