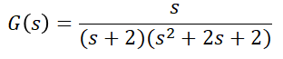
61. 어떤 제어계의 전달함수가 다음과 같을 때 안정성을 판정하면?

전달함수가 주어졌으므로 특성방정식을 통해 안정성을 판별할 수 있습니다. 위 전달함수의 특성방정식은,

루스표를 그리면,

제 1열의 부호변화가 없으므로 해당 제어계는 안정하다는 것을 알 수 있습니다.
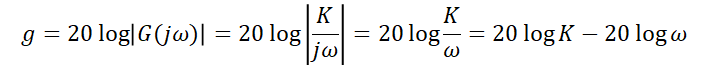
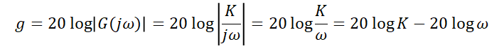
65. G(s)=K/s인 적분요소의 보드 선도에서 이득곡선의 1[decade]당 기울기는 몇[dB]인가?
문제의 전달함수의 이득은,

1[decade]당 기울기를 묻고 있으므로,
i) ω=0.1 ;

ii) ω=1 ;

iii) ω=10 ;

이므로 -20[dB]의 경사를 가진다는 것을 알 수 있습니다.
69. 특성방정식이 다음과 같을 때 불안정한 근의 수는?

루스표를 적용하면,

따라서 제 1열의 부호가 2번 바뀌었으므로 s 평면의 우반면에 불안정한 근 2개를 갖는다는 것을 알 수 있습니다.
71. e(t) z변환을 E(z)라 했을 때 e(t)의 초기값은?
Z변환에서 초기값은 다음과 같습니다.

라플라스 변환과 Z변환 각각의 초기값 및 최종값 정리를 보면 다음과 같습니다.
| 초기값 정리 | 최종값 정리 | |
| Z 변환 | ![]() |
![]() |
| 라플라스 변환 | ![]() |
![]() |
72. 단위 길이단 인덕턴스 및 커패시턴스가 각각 L 및 C 일 때 전송선로의 특성임피던스는?(단, 무손실 선로)
분포 정수 회로가 무손실 선로일 때 R=0, G=0이므로,

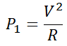
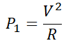
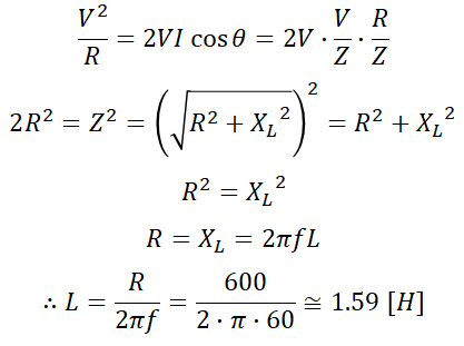
73. 그림과 같은 회로에 주파수 60[Hz], 교류전압 200[V]의 전원이 인가되었다. R의 전력 손실을 L=0인 때의 1/2로 하면 L의 크기는? (R=600[Ω])

먼저 L=0일 때는 저항 하나만의 회로이므로 이 때의 전력을 P1이라 하면,

L이 추가 되었을 때는 R-L회로이므로 이때의 전력을 P2라 하면,

문제에서 R의 전력손실이 L=0일 때의 1/2이라 하였으므로 P1=2P2가 되고 이를 정리하면,

여기서 I는 V/Z이고, 역률 cosθ는 R/Z이므로,

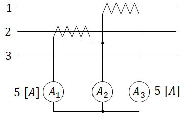
75. 평형 3상 회로에서 그림과 같이 변류기를 접속하고 전류계를 연결하였을 때, A2에 흐르는 전류는?

그림과 같이 변류기를 접속하면 A1와 A3에 걸리는 전류에 의해 A2에 전류가 흐르게 됩니다. 벡터도로 보면,

따라서 A2=A3+(-A1)이 되므로,

80. 0.1[μF]의 콘덴서에 주파수 1[kHz], 최대 전압 2000[V]를 인가할 때 전류의 순시값은?
콘덴서의 흐르는 전류는 전압보다 90º앞서므로 전류의 순시값은,

'전기 > 전기기사 문제풀이' 카테고리의 다른 글
| [전기기사] 2015년 3회. 전기기기_41~60 (0) | 2020.09.27 |
|---|---|
| [전기기사] 2015년 3회. 전력공학_21~40 (0) | 2020.09.27 |
| [전기기사] 2015년 3회. 전기자기_01~20 (0) | 2020.09.25 |
| [전기기사] 2015년 2회. 회로이론 및 제어공학_61~80 (0) | 2020.09.25 |
| [전기기사] 2015년 2회. 전기기기_41~60 (0) | 2020.09.24 |


