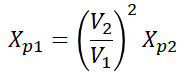
24. 전압 V1[kV]에 대한 %리액턴스 값이 Xp1이고, 전압 V2[kV]에 대한 %리액턴스 값이 Xp2일 때, 이들 사이의 관계로 옳은 것은?
퍼센트 리액턴스는 다음의 식으로 구할 수 있습니다.

따라서 %리액턴스는 전압의 제곱에 반비례하기 때문에 다음과 같은 관계가 성립합니다.

29. 송전선로의 수전단을 단락한 경우 송전단에서 본 임피던스가 300[Ω]이고 수전단을 개방한 경우에는 900[Ω]일 때 이 선로의 특성임피던스 Z0는?
선로의 특성임피던스는 단락 시 임피던스를 개방 시 어드미턴스로 나눠 구할 수 있습니다.

37. 송전 계통의 절연 협조에 있어 절연 레벨을 가장 낮게 잡고 있는 기기는?
- 절연협조는 피뢰기의 제한 전압이 기준이 되기 때문에 피뢰기의 절연 레벨이 가장 낮습니다.
39. 154[kV] 송전선로에서 송전거리가 154[km]라 할 때, 송전용량 계수법에 의한 송전용량은?(단 송전용량 계수는 1200)
송전용량 계수법에 의한 송전용량은 다음과 같습니다.

여기서 K는 용량계수, V는 송전전압, l은 송전거리로 문제에 주어진 조건을 대입하면,

'전기 > 전기기사 문제풀이' 카테고리의 다른 글
| [전기기사] 2015년 3회. 회로이론 및 제어공학_61~80 (0) | 2020.09.27 |
|---|---|
| [전기기사] 2015년 3회. 전기기기_41~60 (0) | 2020.09.27 |
| [전기기사] 2015년 3회. 전기자기_01~20 (0) | 2020.09.25 |
| [전기기사] 2015년 2회. 회로이론 및 제어공학_61~80 (0) | 2020.09.25 |
| [전기기사] 2015년 2회. 전기기기_41~60 (0) | 2020.09.24 |