중성점 접지는 계통에 발생할 수 있는 여러가지 고장으로부터 보호하는 방법 중 하나로 다양한 방법이 있습니다. 중성점을 접지하는 임피던스의 종류와 크기에 따라 비접지, 직접 접지, 저항 접지, 소호 리액터 접지 방식이 있으며, 이 중성점 접지의 목적과 각각의 접지 방식의 특징에 대해 살펴보겠습니다.
1. 중성점 접지 목적
먼저 중성점 접지에서 말하는 중성점은 다음의 위치를 말합니다.

이렇게 변압기 2차측의 중성점을 말하며 여기에 달리는 Zn인 접지 임피던스에 따라 접지 방식이 분류됩니다. 그리고 이런 중성점 접지의 목적은 크게 다음의 4가지가 있습니다.
1) 지락고장 시 건전상의 대지 전위상승을 억제하고 전선로 및 기기의 절연 레벨의 경감.
2) 뇌, 아크 지락, 기타에 의한 이상전압의 경감 및 발생을 억제.
3) 지락고장 시 접지계전기의 확실한 동작 확보.
4) 소호 리액터 접지방식에선 1선 지락시의 아크 지락을 재빨리 소멸시켜 그대로 송전을 계속할 수 있도록 합니다.
그럼 각각의 접지 방식의 특징에 대해서도 살펴보도록 하겠습니다.
2. 접지방식
1) 비접지
접지 임피던스 Zn이 무한대인 방식으로 33 [kV] 이하의 계통에 적용합니다.

그리고 특징은 다음과 같습니다.
(1) 선로의 길이가 짧거나 33 [kV]정도 이하의 저전압 계통에 사용합니다.
(2) 변압기 결선을 △-△로 할 수 있어 변압기 1대가 고장나더라도 V-V결선으로 송전이 가능합니다.
(3) 1선 지락사고 시 지락 전류가 아주 적어서 그대로 송전이 가능하고 보호 계전기의 동작이 어렵습니다.
(4) 1선 지락사고 시 충전전류에 의한 간헐 아크 지락을 일으켜서 이상 전압을 루트3배 발생시킬 수 있습니다.
2) 직접 접지

직접 접지는 그림과 같이 지락점의 임피던스를 0으로 하여 지락전류를 최대로 하기 위한 방식을 말합니다. 직접 접지 방식 중엔 유효 접지 방식이 있는데, 지락 사고 시 건전상의 전위 상승이 상규 대지 전압의 1.3배 이하가 되도록 하는 접지 방식을 말하며 유효 접지 방식을 사용하면 전위상승을 최소로 할 수 있습니다. 그리고 전위 상승이 1.3배 이하가 되도록 하기 위해 다음의 유효접지 조건을 만족해야 합니다.

여기서 R0는 저항, X1은 정상 리액턴스, X2는 영상 리액턴스를 말합니다. 그리고 특징은 다음과 같습니다.
(1) 22.9, 154, 345, 765 [kV] 계통에 적용할 수 있습니다.
(2) 1선 지락 시 건전상의 대지전압 상승이 거의 없습니다.
(3) 선로 및 기기의 절연례벨을 낮출 수 있습니다.
(4) 보호 계전기의 동작이 확실합니다.
(5) 지락 전류가 저역률의 대전류기 때문에 과도 안정도가 나빠집니다.
(6) 지락 고장 시 통신선에 전자유도 장해를 크게 끼칩니다.
(7) 지락 전류가 매우 크기 때문에 기기에 큰 기계적 충격을 주기 쉽습니다.
3) 소호 리액터 접지

리액터 접지 방식은 그림과 같이 중성점에 리액터를 연결하여 지락전류를 줄이는 방식을 말합니다. 그리고 소호 리액터 접지는 중성점에 접속된 리액터와 대지 정전 용량의 병렬공진에 의해 지락전류를 소멸시켜 안정도를 최대로 하기 위한 접지를 말합니다. 따라서 소호 리액터 접지 방식은 지락 전류가 흐르지 않기 때문에 보호 계전기의 동작이 어려운 특징을 갖고 있습니다.
(1) 소호 리액터의 크기
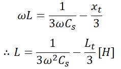
소호 리액터 접지에서 소호 리액터의 크기를 선정할 때는 대지 정전 용량과 병렬 공진 조건을 이용해 계산합니다. 그런데, 변압기에도 임피던스가 있으므로 이 변압기 임피던스 xt를 고려하는 경우와 고려하지 않는 경우로 나눠서 계산합니다.
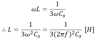
① 변압기 임피던스를 고려하지 않을 때

② 변압기 임피던스를 고려할 때

위와 같은 방식으로 소호 리액터의 크기를 구할 수 있습니다.
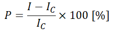
(2) 합조도(P)
L과 C가 공진을 이루고 있을 때 이 공진점에서 얼마나 떨어져 있는지를 나타내는 것을 합조도라고 합니다. 소호 리액터 접지 방식에서는 계통이 진상으로 운전하는 것을 방지하기 위해 일반적으로 10% 정도 과보상 하는데, 이것을 합조도로 표시하게 됩니다.

여기서 I는 소호리액터 사용 탭 전류, Ic는 대지 충전 전류로 다음과 같이 구할 수 있습니다.

따라서 분모항의 크기를 비교해 보상의 정도와 합조도를 구할 수 있습니다.

이렇게 소호 리액터에 흐르는 전류와 대지 충전 전류의 크기를 비교해 보상의 정도를 결정할 수 있습니다.
4) 접지 방식별 비교
위에서 살펴본 접지 방식들을 정리하면 다음과 같습니다.
| 방식 | 다중 고장 발생 확률 | 보호 계전기 동작 | 지락 전류 | 고장중 운전 | 전위 상승 |
과도 안정도 | 유도 장해 | 특징 |
| 직접 접지 (22.9, 154, 345 [kV]) |
최소 | 확실 | 최대 | x | 1.3 | 최소 | 최대 | 중성점 영전위, 단절연 가능 |
| 저항 접지 | 보통 | ↑ | ↑ | x | ![]() |
↓ | ↑ | |
| 비접지 (3.3, 6.6 [kV]) |
최대 | x | ↑ | 가능 | ![]() |
↓ | ↑ | 저전압 단거리 적용 |
| 소호 리액터 접지 (66 [kV]) |
보통 | 불확실 | 최소 | 가능 | ![]() |
최대 | 최소 | 병렬 공진, 고장 전류 최소 |
2. 중성점의 잔류 전압
잔류 전압은 보통의 운전 상태에서 중성점을 접지하지 않았을 때 중성점에 나타나는 전위를 말합니다. 이 잔류 전압의 발생 원인은 여러 가지가 있지만 가장 주된 원인은 송전선의 연가가 불충분해 각 상의 대지 정전 용량의 불평형에 의해 발생합니다.

위와 같은 경우로 각 상에 흐르는 전류를 구하면,

그런데 중성점이 비접지이므로,

그리고 잔류 전압 En은 아래의 식으로 구할 수 있습니다.

따라서 연가를 완벽하게 하여 Ca=Cb=Cc가 된다면 잔류전압을 0으로 만들 수 있습니다.
'전기 > 전력공학' 카테고리의 다른 글
| [전력공학] 11. 차단기와 단로기, 퓨즈 (0) | 2020.07.21 |
|---|---|
| [전력공학] 10. 이상 전압 (0) | 2020.07.17 |
| [전력공학] 8. 유도 장해와 안정도 (0) | 2020.06.29 |
| [전력공학] 7-3. 고장 계산_발전기 고장 계산 (1) | 2020.06.27 |
| [전력공학] 7-2. 고장 계산_ 대칭 좌표법 (1) | 2020.06.25 |


