1. 부하의 특성
부하 특성을 나타내는 지표로 활용되는 것은 크게 세가지가 있습니다. 수용률, 부등률, 부하율로 이들을 잘 이해해야 설비용량을 적절하게 선정할 수 있고 부하의 특성을 이해할 수 있습니다.
1) 수용률
어느 기간 동안 수용가의 최대 수요 전력과 그 수용가에 설치되어 있는 설비 용량의 합계의 비를 말합니다. 즉, 전체 부하 설비로 최대로 얼마나 전력을 사용하는지 나타내는 지표입니다.

부하 설비의 합계는 항상 최대 수요 전력보다 크기 때문에 수용률의 값은 1보다 작은 값을 가지고 있습니다.
2) 부등률
일반적으로 수용가 상호간이나 배전 변압기 상호간, 급전선 상호간 또는 변전소 상호간에서 각개의 최대 부하는 같은 시각에 일어나지 않습니다. 최대 부하가 발생하는 시간에 차이가 있기 때문에 부등률은 이를 나타내기 위한 지표로 일반적으로 1보다 큰 값을 가지고 있습니다.

3) 부하율
어느 일정 기간 동안 부하 변동의 정도를 나타내는 지표로 기간 중 평균 수요전력과 최대 수요전력과의 비를 백분율로 나타낸 값입니다.

이렇게 살펴보니 수용률, 부등률, 부하율을 구하기 위해 사용되는 값들이 서로 연관되어 있습니다. 따라서 이들의 관계를 이용해 원하는 수용률, 부등률, 부하율을 갖는 설비 용량을 선정할 수 있습니다.
4) 수용률, 부등률, 부하율의 관계

이렇게 합성 최대 전력을 구하고자 할 때 수용률을 이용해 구할 수 있습니다.

부하율은 위의 식으로도 구할 수 있습니다. 합성 최대 전력을 구할 때와 마찬가지로 부등률과 수용률을 이용하면,

위와 같이 구할 수 있습니다. 여기서 합성 최대 수용 전력을 계산하는 것이 중요한데, 이 합성 최대 수용 전력이 바로 변압기 용량 산정의 기준이 되기 때문입니다. 변압기가 안전하게 동작하기 위해선 변압기 용량이 항상 합성 최대 수용 전력보다 크거나 같아야 합니다.
2. 전력 손실
전력 손실은 손실계수 H를 이용해 표현할 수 있습니다. 손실 계수는 어느 기간 중 평균 전력 손실에 대한 같은 기간 중의 최대 손실 전력의 비로 다음과 같이 나타냅니다.

따라서 전류를 기준으로 계산하면 다음과 같이 계산할 수 있습니다.

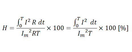
식으로 표현하면,

여기서, T는 계산하고자 하는 기간, I는 어느 한 순간의 전류, Im은 기간 동안의 최대 전류입니다.
2) 부하율 F와 손실계수 H의 관계
부하율은 평균 수요 전력을 최대 수요 전력으로 나누어 계산할 수 있었습니다. 따라서 다음과 같은 식으로 표현할 수 있습니다.

이를 이용해 H와의 관계를 살펴보면 다음과 같은 관계가 성립합니다.

그리고 일반적으로 다음과 같이 표현합니다.

'전기 > 전력공학' 카테고리의 다른 글
| [전력공학] 14-1. 배전 선로의 전기적 특성_전압 강하와 전압 변동 (0) | 2020.07.22 |
|---|---|
| [전력공학] 13. 이도와 애자, 배전방식 (0) | 2020.07.22 |
| [전력공학] 12. 계전기와 변성기 (0) | 2020.07.21 |
| [전력공학] 11. 차단기와 단로기, 퓨즈 (0) | 2020.07.21 |
| [전력공학] 10. 이상 전압 (0) | 2020.07.17 |