1. 전압 강하율과 전압 변동률
1) 직류 선로의 전압 변동률
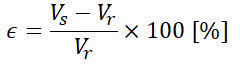
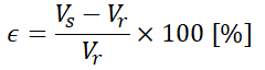
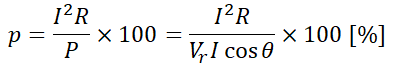
직류 선로의 전압 변동률과 전력 손실률은 다음의 식으로 구할 수 있습니다.
- 전압 번동률

- 전력 손실률

이를 이용해 직류 2선시과 3선식에서도 전압 강하를 구할 수 있습니다.
(1) 직류 2선식
- 전압 강하

여기서 R이 전선 1선당 저항을 의미하기 때문에 2선식이므로 전압강하는 2IR이 됩니다.
- 전압 강하율

같은 방법으로 계산하지만 2선식이기 때문에 전압 강하를 위의 2IR을 적용해 주어야 합니다.
(2) 직류 3선식

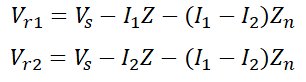
이런 직류 3선식의 선로가 있다면 불평형일 때와 평형 상태일 때로 나누어 생각할 수 있습니다. 만약 불평형이라면 OO' 사이에 전류가 흐르게 될 것이고, 평형상태라면 그렇지 않을 것입니다. 따라서 각각의 상태에서 전압을 구해보면 다음과 같습니다.
- 불평형 시

- 평형 시

그리고 전압 강하는 다음과 같이 구할 수 있습니다.

2) 교류 선로의 전압 변동률
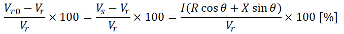
직류와 달리 교류에선 당연히 저항이 아닌 임피던스를 고려하고 그에 따른 위상차도 함께 고려해 주어야 합니다. 그런데 여기서 충전 전류는 무시할 수 있으므로 송전단 전압과 무부하시 수전단 전압이 같다고 볼 수 있습니다. 따라서 식으로 표현하면 다음과 같습니다.

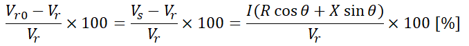
그러므로 전압변동률은,

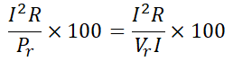
으로 구할 수 있고, 이때의 백분율손은,

로 구할 수 있습니다.
(1) 단상 2선식

- 전압 강하

직류의 경우와 마찬가지로 2IZ로 계산해주어야 합니다. 따라서 전압 강하율은 다음과 같이 구할 수 있습니다.
- 전압 강하율

(2) 3상 3선식
교류 3상 3선식의 전압강하와 전압 강하율은 다음과 같이 구할 수 있습니다.
- 전압 강하

- 전압 강하율

(3) 단상 3선식
단상의 경우 직류와 마찬가지로 불평형일 때와 평형일 때를 나누어 계산하면 됩니다.
- 불평형 시

- 평형 시

'전기 > 전력공학' 카테고리의 다른 글
| [전력공학] 14-2. 배전 선로의 전기적 특성_부하의 특성과 전력 손실 (0) | 2020.07.26 |
|---|---|
| [전력공학] 13. 이도와 애자, 배전방식 (0) | 2020.07.22 |
| [전력공학] 12. 계전기와 변성기 (0) | 2020.07.21 |
| [전력공학] 11. 차단기와 단로기, 퓨즈 (0) | 2020.07.21 |
| [전력공학] 10. 이상 전압 (0) | 2020.07.17 |